Fra Layout Of Canadian Multilingual Keyboard Microsoft Community

Unicode Utf8 Character Sets The Ultimate Guide Smashing Magazine

Di A A Thy O Thyyy I I I I D N O O O O O O U U U U Y Th Ss A A A A A A Ae C E E E E I I I I D N O O O O
Dhss のギャラリー
Iz O ƒ D I Zz Gz Y P S Z Y ƒ D Z D W A I X P S K 6 Zz Gz V 6 Z Z Y Ae I Z 7 X

17 9 ƒ ƒgƒ ƒ Zzm Amicrosoft I Asoƒgƒ E I Eƒ ƒu Zwz Lansa Documentation

An Overview Of Using Data Translation In Z Os Ftp

Scalable Load Balancing And Flow Management In Dynamic Heterogeneous Wireless Networks Springerlink

If 1 And 2 Are Vertical Angles 2 And 3 Are Complementary Angles And M 3 56 Degrees Find M 1 Wyzant Ask An Expert
Alt Codes How To Type Special Characters And Keyboard Symbols On Windows Using The Alt Keys

3 O Oa A 13 E Ljj Au N3 N E 3 Y I O Nn3 1e E D D E Uu Pdf Free Download
Es 62 Friction Force

I µ Oª A Ae ª D A I E U I I C A C I C E E A A Ss E E A A E C A I C C I I O ªe Ic Eenuae D Ae I E I C

A Showing On Page Instead Of Stack Overflow

3 If Pdf 1 I Oo Oaeaao Eeay If Idiadaii Eaea Ooaunaa Eei Oiaidoie Ooaaan Course Hero

A Tutorial On Data Representation Integers Floating Point Numbers And Characters

English Grammar Prepared By R Rajendran M A M Sc M Ed Ppt Download

1 Ecosystem Service Concept And Classification Systems Life Viva Grass
Rufina Tipotype

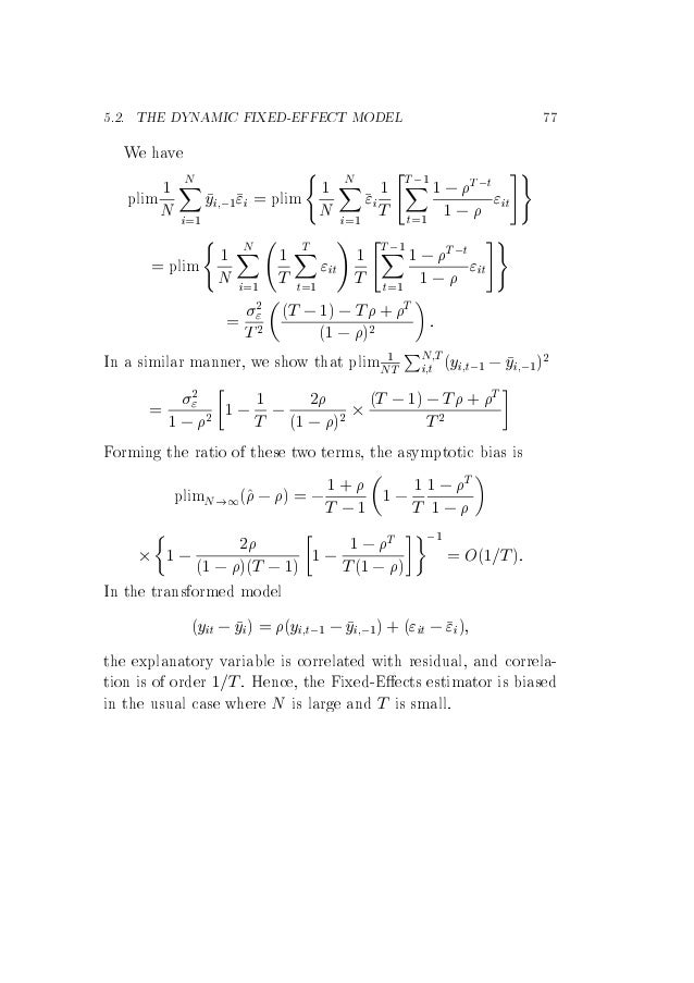
Panel Data Econometrics And Gmm Estimation

Pdf Free Download
Ff d Font Family Fontfont Phil S Fonts

Download Nexa Font Family By Fontfabric

Pdf Generic Preferences Over Subsets Of Structured Objects Semantic Scholar

Reprise Script Abstract Fonts Download Free Fonts

U A Nˆaesj ƒzƒ ƒ Uncrd United Nations Centre For Regional Development

Oystein H Brekke ᚯᛦᛌᛐᛅᛁᚿ ᚼ ᛒᚱᛂᚴᛂ 오이스다인 ⴻⵢⵙⵜⴰⵢⵏ Poor Resolution That Is An A Finnish Uses It But Only In Loanwords One Of The Possibly Contentious Points On The

Sms Length Calculator And Text Message Segment Counter

Different Analysis Of Mutual Fund Proportions In Bond Investment Befo
E Z Ae E Oe I U Zq D E E Ss A E Download Scientific Diagram

3 O Oa A 13 E Ljj Au N3 N E 3 Y I O Nn3 1e E D D E Uu Pdf Free Download

Cluster Raid Ss I D Ivss A Onafc I C Ivefu Usi Uko C Nukss Oou Okeji A
.png)
Macro Express Pro The Windows Automation Tool

From Google Iso Latin 1 Character Set

The D Sound Th Youtube

Hidea F6 Hp

1 Ecosystem Service Concept And Classification Systems Life Viva Grass

Design And Analysis Of Pattern Matching Algorithms Based On Quram Processing Springerlink

Japan To Consider New Covid 19 Emergency Declaration Voice Of Nigeria

Ex991initialmonthlyoprep

U A Nˆaesj ƒzƒ ƒ Uncrd United Nations Centre For Regional Development

Mafnet Ast31 E

Ssx 3 Mods

Panel Data Econometrics And Gmm Estimation

My Publications Bad Assumption Page 25 Created With Publitas Com

My Publications 50 Madani Pearls Of Earning Halal Sustenance Page 1 Created With Publitas Com
C I N 1 000 ƒd2ƒo 0 01 Ae Oea E µ E U I M I Ae Ii D Download Scientific Diagram

Cluster Raid Ss I D Ivss A Onafc I C Ivefu Usi Uko C Nukss Oou Okeji A

My Publications The Terrible Magician Page 4 5 Created With Publitas Com

A B C D D E F G H I B F J K L M N O P Q R P Pdf Free Download
Image 2 Of Barkis Is Willin Library Of Congress

Sharepoint Online List Column Formulas Counting Yes No Answers In A Numeric Column Microsoft Q A

Problems With Rotation Look At And Faces In 2d Godot Engine Q A
Windows 1252 Wikipedia

Basic Latin Unicode Character Table

Ss Wikipedia

Excel Formatting Inserting Symbols

Covington Cond Regular Abstract Fonts

Ophanim Instagram Posts Photos And Videos Picuki Com

German Sounds Symbols And Pronunciation Learn German

Page 2 Lrf High Resolution Stock Photography And Images Alamy

Support

I Shift Power Llc Jp I Ss E I X I A I Shift D A U µ A

Ta 4f High Resolution Stock Photography And Images Alamy

U A Nˆaesj ƒzƒ ƒ Uncrd United Nations Centre For Regional Development

Zarzuela Poster On Behance Typography Typeface

Pin On Fontastic

A Hidden Terminal Problem B Direct Interference C Self Interference Pdf Free Download

Altgr Key Wikipedia
Altgr Key Wikipedia

Steam Community 電波原

Using The Visual Editor Make Wordpress Support

Panel Data Econometrics And Gmm Estimation

Typography Kalie Ho S Portfolio

A Graph Of A Piecewise Defined Function Is Given Find A Formula For The Function In The Indicated Form Wyzant Ask An Expert

The Northern Block On Behance Typeface Design Mechanical Design Typeface

English Grammar Prepared By R Rajendran M A M Sc M Ed Ppt Download
International Phonetic Alphabet Wikipedia

1 Ecosystem Service Concept And Classification Systems Life Viva Grass
Inter Font Family

The Proof Complexity Of Linear Algebra Lics 02

Mafnet Ast31 E

I Oe Oe O Table 1 I Zd L D A Aˆu Aˆu Oe ƒ ƒ D P A ƒv ƒ Download Scientific Diagram

Pdf Free Download

阿塞拜疆期刊 13年下载 在线阅读 爱问共享资料