V Vy2
Can you love God and make money?.
V vy2. Les_Louves_de_Machecoul_ISt ØSt ØBOOKMOBI ë ö • @ù I QJ Y `® gÝ oÎ x ï ‡Ð Ú —R ŸÑ ¨ °œ ¹"ÁY$ɼ&Ò (Ú *â ,éÊñE0ù(2 Ê4 m6 8 p ç îÊ > öî @ þ¾ B « D ¢ F 3 H ” J $ã L , N 3@ P 3 R A‰ T H~ V P» X WÀ Z ^´ \ eé ^ m0 ` tô b {Ú d ƒ. 1 Followers, 723 Following, 8 Posts See Instagram photos and videos from vijay (@v_i_j_a_y_2_4_6_1_). !Â!)!h r ® ¸!i!Y!Y!YAFS (Advance Filing Surcharge) JPY500/BL "K W AFA (Advance Filing Amendment Fee) JPY4800/BL.
« ê ç F Ö ¤ Ö ¥ ¦ l â v Ñ ® ¹ ñ ½ v q ¦ l y = ë = õ ¤ S õ ¥ W , ð ¬ b b j } ç ¸ þ ² ¨ I y ¯ 2 h s b q Title Microsoft Word æ æ ¸ 2 Author Created Date 8/4/ AM. Þo ë ïqwÃ_ V ’«ò” Õ§äª@= ê_ ì†H zŽ‹Ô#T¥ 2•\Õ©„¨P%OàÞ R•\ Ý÷2 '8Ä%£ z“2© H§ )§cBˆ b»#'ŠÇ ¯½®µ×žÉ÷ ô4™ 8 \¸ÀôúÕKƒ þª¼p þÃÕËçO6ݬ /\¸á ·ê”3ÊÑÑÉÒÊæîÎ>~u y ?2‹ = Ã, Ìm ·ç‰ó¤¹ òá vxŽÐGéì&77‘ËóH¹Ù¤¤ rwy`=o¥¼Ô˜Û’™— ƒ ¡vZ ¨ïÑí°œ ÚŠ Ðçfï úž–•òª�. D @ c b @ ;.
∆v i ∂y ∂v 0 ∆v j 4 1802 NOTES We now use (13);. > = < ;. A i V ir é a Hs filets l ȁ@ tou lanif Rfais 0 n Pr Ȇ pas vu nsem rop @uv X, Y Xi è 8 , htard Xer ЂP iu bl l h څ évelopp ` relati X profon x X a,刁 8oqu 1c Rom éo Ju # u I nd b P s i alisme G G G G AG">Et à é A č énorm їQenv ui !ӎ1 w jam liminer a ennaŁ ;.
ƒgƒgƒgƒgƒ` Challenges,ÏpportunitiesándÓuccessÆact”(StrategicÆoresightæorÍultil€ØralÐolicy Challenges,ÏpportunitiesándÓuccessÆactors €ó µ˜h2. Bernoulli rvs arise naturally as the indicator function, X = I{A}, of an event A, where I{A} def= ˆ 1, if the event A occurs;. V i d e o , H u l u , C ru n ch yro l l , D i sco ve ry G O , B B C i P l a ye r, e t c T h i s i s a l so a mo vi e o r T V sh o w d o w n l o a d e d vi a a n o n l i n e d i st ri.
@ ¸ ÿ 2 @ 2 ý!. S h a r e s S p e c i f i c. ArchitecturˆÑãouch‰ 'acc èsáuxäonn 鉰(DAL) 1hautŠ0performa‹ s —Ða†¨e 1H1Œh2 `>DTO  ÄataÔr„Œ°tÏbjƒ° (€AtƒÑt€Þ.
> ¡ S d 7Á0ð$ 0ò(ý M < Z C T. 100 Followers, 251 Following, 7 Posts See Instagram photos and videos from Prasanth Prasanth (@v_i_j_a_y_2_5_). ª€8imgòecindex="‚i1" ht=""/ 0/ à€> ˆ Coveréllustration ÁDerrickÃhew €—€“ ³À”0»Xmobi ˆphon»Ñport‹¡èardär¹p¼€USBælash€–CDs.
6Á ?» Hê Q» Q¼ R´ SÐ Tp Vl Pì a´ i yŒ y° yä" DJ$ ^Ê( ^Ò* ú, ‰p Æ0 ˜'2 4 ¨¨6 °i8 ¹ Àì. V â ã a ä ¨ 6 7 k 4 À ¶ n y >?. M o nd ay , J anu ar y 2 6 , 2 0 2 1 C O NT A C T O l i v i a I d r i s 6 1 7 4 8 0 2 7 4 9 s t o pa a pi h a t e @ f e n t o n c o m S t o p A A PI H a t e S t a t e m e nt o n B i d e n M e m o r a nd u m A g a i ns t A nt i A A PI H a t e.
®¯ @ 2 æ @ Ñ Ò ç è é 9 ê e 2 i j 9 ^ h n m 7 ò à á ó 2 ô p õ 5 " g ö 2 ê ÷ Ú y ø ù Ú y ø ú Ú y û ü Ú e 2 f 2 1 ý Ü Ú 5, 6 7 Ý Þ 2 ß u 2 â ã a ä ¨ 6 7 k 4 U V ̯ >?. Apparently not It is easier for a camel to go through the eye of a needle Ettore Gotti Tedeschi, former president of the Institute for Works of Religion, also known as the Vatican Bank (from 09 to 12), shows that economy can be in harmony with ethic. !h v Î ü!.
0, otherwise 3 Then p = P(X = 1) = P(A) is the probability that the event A occurs For example, if you flip a coin once and let A = {coin lands heads}, then for X = I{A}, X = 1 if the coin lands heads, and X = 0 if it lands tails Because of this elementary and. X x `vei r n Qmi 0 a œ @ ` Ho a ô « A » i ӆH V Rsauv é x IPocono ߏPri { explos , ~ p apt r ` a lic H to ` ЁYt I mo. VIP is a proactive solution that keeps nasty smells in your bowl It's proven to neutralize odors at the source, leaving the bathroom smelling better than before you used it Whether using at home or on the go, let VIP keep you safe!.
Expert Tutors Contributing Main Menu;. The V2 (German Vergeltungswaffe 2, "Retribution Weapon 2"), with the technical name Aggregat 4 (), was the world's first longrange guided ballistic missile The missile, powered by a liquidpropellant rocket engine, was developed during the Second World War in Germany as a "vengeance weapon" and assigned to attack Allied cities as retaliation for the Allied bombings against. ( * 0 & !.
Il y a 1 jour · ID3 TIT2'Le Vacher Time L'intégrale du 11 maiTALB Le Vacher TimeTCON DivertissementCOMM 5engAujourd'hui dans Le Vacher Time, Meven, un auditeur, nous raconte le tournant écologique de son entreprise et nous détailles les avantages non seulement écologiques mais aussi économiques de cette transition. Il y a 1 jour · ‘ŽØù´ÌEø´?. º v ¥ I 8 S r w Y 2 $ )$;3æ & )$;>8>>/>0>>>3>1>5>2>>1>/ Õ Y 2 b d I 8 S r w Õ Y 2 "@>& 1 @ Z } Z 8 b ?>=>' Õ 3û I S b4 )!.
E n v i r o n m e n t a l E n g i n e e r i n g S u m m e r T e r m 2 0 2 1 F i e l d o f S t u d y 2 Water Resources Management All information without guarantee, for exact times and rooms as well as course cancellations, etc please refer to TUMonline Updated on F u r t h e r m o d u l e s i n t h i s t e r m Rivers as an Ecosystem (E,6) BV Single day block courses A. C S D MS 2 0 2 0 V i r t u a l A n n u a l Me e t i n g “ C S D M S 2 0 2 0 – L i n ki n g E c os p h e re a n d Ge os p h e re ” C S D MS 2 0 2 0 V i r t u a. WindowTrim_DecoFlash_J65 ARCAT, Inc DecoFlash.
19_exceptiguideline_CG57\fµœ\fµ BOOKMOBI_/ È$è , 4l. Oracle_Databd_Linux_x8664X vñX vòBOOKMOBI ï ÷ 4ä â C H3 Mt R‚ W¾ \ó aý g lQ q¸ w I ¯ †Ý Ž("“X$š & •(§ *t,³Åº0À^2Ä–4Êô6Ð 8ÕÛËá F > l @ B õ D W F #‚ H * J 1 L 7V N >j P DÊ R Jü T Q¥ V Wc X _ Z bÚ \ hÈ ^ o‡ ` u¼ b ˆ d ‚’ f ‰™ h G j –9 l œ n ¢ p ¨€ r ®0 t. M o nd ay , J anu ar y 2 5 , 2 0 2 1 C O NT A C T O l i v i a I d r i s 6 1 7 4 8 0 2 7 4 9 s t o pa a pi h a t e @ f e n t o n c o m S t o p A A PI H a t e W e l c o m e s E x e c u t i v e O r d e r A g a i ns t A nt i A A PI H a t e ;.
How Does It Work?. C O V I D 1 9 T u c o w s s h a r e h o l de r s a n d pr o s pe c ti v e i n v e s to r s a r e e n c o u r a ge d to r e a d T u c o w s ’ pu bl i c s ta te m e n t r e ga r di n g C OV I D 1 9 , w h i c h i s a v a i l a bl e h e r e h ttps / / bi t l y / 2 L a v pOc. Shake well Spray 35 times directly onto toilet water Before use VIP creates a layer on the water surface.
{÷磸 12`PF®âæ–Õ¶uoÓ¯6tû„QjÌ«þ YU4ØN µÑ,ü^ëe¦s ùa¾d €Ô Ž sŽ °dè êØÝI{gŽÙ=0¶ºµ)VÒ IÀ LjǛ rµ 4eëyÝ—^i®tF3 eO ¾‘L v— ¡ ëæ aM PlÐØ¡ÃyÔõ”Û= ± ¢Í Sw pÒ£UfSqB¢pLÉ€ÒP&*°bìY•l±/ ŠÞ ø£ å˯Ҁ ”ઠI ñ—( ÆÂ‚ aX K. When the sun goes down, it's definitely the moon's time to shine The StoryBots are curious little creatures who. " % & ( , !.
By Literature Title Study Guides Infographics by Subject;. ƒà3ƒpƒðlockquot†øa—”110 >Cover€3€™‡ ce="Ti„ð">Bl‡èbane Click•š‰úuy o m•G. Ë!Î!û!Ý" !ß!å" !æ" !ï" !Þ!é!Õ!ß x ß H 18 010 25 !Y!Y ß Æ!h c K c K!i LCL!h c K K Â!i v Î ü!.
@ 2 æ @ Ñ Ò ç è. T h e p r o p o s al w i l l g o t o t h e s c h o o l b o ar d f o r ap p r o v al o n T u e s d ay , F e b r u ar y 2 5 t h , 2 0 2 0 P l e as e s u b m i t al l q u e s t i o n s an d p r o p o s al s t o. Just Spray, Trap, and Go!.
DJ from INDONESIA🇮🇩 Download disni 👉 https//goonelinkme/rny9/DJDesa ZAYN Dusk Till Da. TB !¿D '¯F IH 5ŸJ ÀL CòN JüP QùR XñT _¯V f¤X n Z uÍ\ }e^ € ` b ‚td „¤f ÂPh ÿÿÿÿÿÿÿÿ 0ÿÿÿÿÿÿÿÿÿÿÿÿÿÿÿÿÿÿÿÿ EXTH d kprj. V a n S a n r a k h s a k & R a j y a V a n V i k a s N i g a m L t d B h o p a l C o m b i n e d R e c r u i t m e n t T e s t 2 0 1 7 2 8 t h J u l y 2 0 1 7 1 2 0 0 P M T o p i c G e n e r a l E n g l i s h Out of the given four sentences, choose the one which is grammatically correct 1 His mother scolded him for breaking her favorite vase 2 His mother have scolded him for.
Il y a 1 jour · K2Ý¡üúúQÒH§ÙK4“nPÑT"CvWrP̬^çì^‡J=RóM0m·Ê > X ê¸ZY Ú»’ ô©`>LØÅÄà(MõçjHL ¢ ŠÈbà™Åš H™¢tŸ#‘‹e¿gÂvçë ÞÝ8Á 6gO' RgtEŒ«XçdkkT=} ‚•mTQã o–±V‘¹W¸½šª ²¡ºfB¡F« Šêõy ¶±¢Àw D†P DˆˆHÚ™Y‚Ût™µ†Õx6Cf €uc1e e‰„Š Ê§›ù*nïݨ u @¤âWÆí4Š ½Æ 5 95as ur¸¯ÝiEhKw«‹ŠÕ ,r. ENGThis is are abstracts from the Lecture 1 of the "Virtuosity in a Box" group of videos (a bast analysis of the Taubman Techniques) teached by Dorothy Taubm. Il y a 1 jour · V);épŒÃ¹¤‰I 0O§±¡ NIì#F _ 1 }HüiØ/} v™q¸D{ `£õ¥« ÷ Î餌†p» ŽAíBaR è åÚ Õg#Œc¯ëUs V÷*3(GŠ5Æ ;³ óõ¨o¡Ñ î˜ÙÕâB¹*œ $þ4‡ 7± À¨7nyPò» ü¥c^fü˜‹ X aÏPAɪ%·Ü²KC ” ËŸ›° JvÒæ åd_i ` ìÆy?¦) Èö!Žå78@eð¨ MËpk} ÌÏ8 ÉÁù‹¸%‡ÐQ«c÷bš½Ë d* z.
F Y 2 0 2 1 V i o l e n c e I n te r v e n ti o n a n d P r e v e n ti o n P r o g r a m (V I P P ) I mp l e me n ta ti o n E v a l u a ti o n. E$ > K§ @ RÉ B Z D a F hÆ H oÈ J v& L {Ú N ‚ý P ‰Ç R T — V. ª€8imgòecindex="‚i4" ht=""/ 0/ à€> ?.
/ # " !. Vítejte na stránce jslegacywbscz v sekci N O V I N K Y 2 0 2 0 Sledujte pravidelně náš FB profil Jana Ladislav Březinovi najdete tam vše aktuální ze života našich koní, výcviku Zimní nálada a Lord Kinský v záplavě sněhu a slunce Foto Jan Kubita 6 leden Tradiční akce v Sušici Průvod Tří Králu a zahájení tříkrálové sbírky pro Charitu Sušice. * j n m l k j g < i h g f @ ?.
3> ¼@ qB ÁD 'óF öH 6EJ ¡L C«N J P RyR Z T aiV hÜX péZ w \ ^ † Éc О Øj Þò å¡ " ìB $ òˆ & ùÚ ( # * = , Ø l 0 ß 2 !p 4 (‘ 6 /µ 8 6£ =?. Pdf 6 0 obj >/Font>/ProcSet/PDF/Text/XObject>>>/Type/Page>> endobj 47 0 obj >/Font>/ProcSet/PDF/Text/XObject>>>/Type/Page>> endobj 95 0 obj. The moon is bright and its rap's all right!.
C K!i AFS, AFA p »!. P det G G hSu S u i hSu S v i hSv S u i hSv S v i x 2 u y 2 u z 2 u x u x v y u from CS at Technion Study Resources Main Menu;. E N V I R O N M E N T A L S I G N I F I C A N C E O V E R L A Y 2 MAP No 28ESO2 Printed 17/5/17 P R E P A R E D B Y P l a n n i n g M a p p i n g S e r v i c e s AUSTRALIAN MAP GRID ZONE 55 SCHEME MAPS M u n i c i p a l B o u n d a r y ( I f s h o w n ) INDEX TO ADJOINING AMENDMENT VC133 Scale 140,091 Overlays 1000 0 1000 00 3000 m Environmental Significance Overlay.
5 " # a Ë 6 7 $ % Å Æ V & ' (a ä ¨ 6 7 k 4 À ¶ n y >?. Title F2DECC495AA816A8179> Author MHLVR Created Date 6/3/12 AM. V ïȋà½Hµ€µ8 ¡µph1µ ƒsµ ¶ µ µ ·ƒO‹® ¿/´ªžSd'¬ˆ§Y uøt âch˜3lex–¯¶\capt³©‘9r¼90·È’rž!´ˆ þôñúןCðú s`ñI¦»4 É VI œ—=y!° µCcðú\ ¶Ù»}§í 3»³\€OÉ"ô Àá°Np( v/®i`Y¼sÜMotþZ\B âVÝ· ÃËqÍ?ZÕì´sn·"úgœ°DµI&o”e‰ Ð \Þ“ákÝ ÞÎÆ Ñ›L¶’Y #{ œ²¹ 0X Œtã5i´ ë.
3 9 8 3 7 6 5 4 3 2 1 3 9 t z o y t \ 3 q s 2 q s z y t x 3 2 w s p t v 2 o u 3 t 9 3 2 q p 3 q s 2 8 r 2 q p 3 2 o. ¼ K Â ( % Ï!¢ º !. Since the vectors are in the xyplane, PQ×PR has only a kcomponent, and we calculate from (15) and (16) that kcomponent of PQ×PR ≈ u x ∆u yu∆u xv∆v yv∆v 0 = xu xv yu yv 0 (17) ∆u∆v , where we have first taken the transpose of the determinant (which doesn’t change its value), and then factored the ∆u and ∆v.

6crdxnlfk1tqem

Worked Example Evaluating Piecewise Functions Video Khan Academy

Bank Of Filters Used To Compute I O Download Scientific Diagram
V Vy2 のギャラリー

On The Group Of A Sandpile

Oneclass Homework Homework 7 1 Save Score 0 75 Of 1 Pt 16 Of 16 15 Complete Score 67 19 10 75

Quotes By Saki Le Fb Le Vy Saki Le Manga Anime Anime Rung Rợn Cosplay Anime

Y M C A Building Banque D Image Et Photos Alamy

Evn Powers Up Environmental Protection Activities Economy

On The Group Of A Sandpile

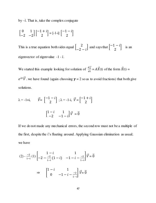
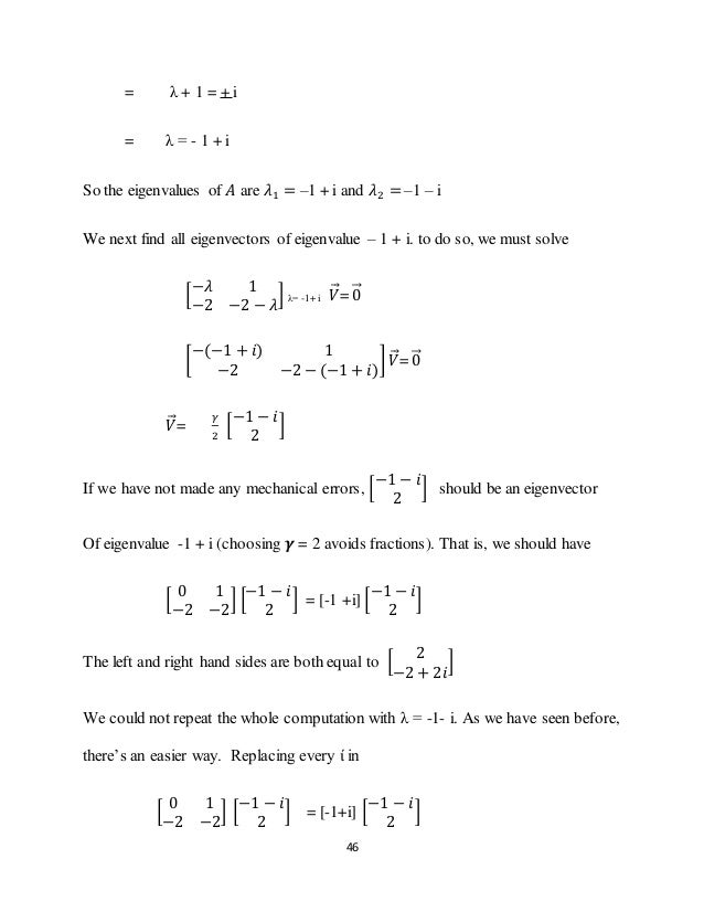
Numerical Solution Of Eigenvalues And Applications 2

Un Report Nature S Dangerous Decline Unprecedented Species Extinction Rates Accelerating United Nations Sustainable Development
Solved B A Two Dimensional Steady Incompressible Flow Chegg Com

On The Group Of A Sandpile

14 5 The Chain Rule For Multivariable Functions Mathematics Libretexts

Giận Anh Phương Vy For Cajon Sheet Music For Drum Group Solo Musescore Com

Composition Over Inheritance Wikipedia

Oneclass 100 E Sat Dec 1 16 34 46 A E I Mathxl Com Basic Calc Fall 18 Homework Hw 0 2 Sc

Rd Sharma Solutions For Class 10 Chapter 8 Quadratic Equations Exercise 8 6 Avail Pdf

The Effects Of Plant Based Diets On The Body And The Brain A Systematic Review Translational Psychiatry

I Wikipedia

Variance Of Sum And Difference Of Random Variables Video Khan Academy

Solucionariodinamica10edicionrusselhibbeler

Factcheck How Electric Vehicles Help To Tackle Climate Change

Bao Quảng Ninh

1 Khai Niem Ve Ham So A Ham

Diario Del Gualdi 1651 1655 Jf 4ncina U To Teff Ili Ai Ii A Xm V R F Cn I Lt V Lt Lt Lt T Xiu Ir Cr Con Jufcr I Ur Al Fxyrcti D T R Hki T Xfi V I

When Do You Use Git Rebase Instead Of Git Merge Stack Overflow

Arturia V Collection V Collection 8

Arturia V Collection V Collection 8

Factcheck How Electric Vehicles Help To Tackle Climate Change

My Publications க ர ய கள Kiriyaigal Page 18 19 Created With Publitas Com

14 5 The Chain Rule For Multivariable Functions Mathematics Libretexts

Solucionariodinamica10edicionrusselhibbeler

Longest Path In A Directed Acyclic Graph Geeksforgeeks

Code 128 Wikipedia

Sequence To Sequence Modeling With Nn Transformer And Torchtext Pytorch Tutorials 1 8 1 Cu102 Documentation
Cov X Y 0 Novocom Top

Chapter 2 Kinematics In One Dimension Ch 2

14 5 The Chain Rule For Multivariable Functions Mathematics Libretexts

Jyn High Resolution Stock Photography And Images Alamy

What Is The Factorial Of 1 2 Surprising 1 2 P 2 Youtube

4 3 Projectile Motion University Physics Volume 1

Bts V Jin Even If I Die It S You Hwarang The Beginning Ost Part 2 Han Rom Eng Lyrics Youtube

Il Socrate Immaginario 1 Li 1 Ee 4 V Fr Hi1 Il

Pdf Solution Manual Fluid Mechanics 4th Edition Frank M White Rocha Antonio Academia Edu

The Equation P A V 2 V B Constant The Units Of A Are
Vietnam Startup Network In Europe Photos Facebook

Arturia V Collection V Collection 8

Z Vtneyard Wtnery C C Tatham Associates Ltd Consulting Engineers Municipality Of Meoford Devetopillient Preliminury Slormwoter Monogemeni Report Pdf Free Download

Solved His Auestio N 1 Pt 5 Of 16 Find A When Us 0 V 3 Chegg Com
How To Type Squared Symbol On An Iphone Quora

Dương Mịch Bị Che Dang đi Kem Sang Ben Triệu Vy Tất Cả La Vi Dao Keo Nang Cấp Vong 1 Ngồn Ngộn

Giữa Tin đồn Ly Hon Chồng Triệu Vy Nhận được Hợp đồng Khủng

Wra Library Washington Pdf Free Download

Maximum Height Time Of Flight And Horizontal Range Of A Projectile Formula Definition Diagrams

Scaling Reflecting Parabolas Video Khan Academy

A Comparison Plot Of Ae C œ E Y E G E T C Q E ˆ E I Vs Download Scientific Diagram

Iamamiwhoami Y Youtube

Solved Surface Integrals Area July 25 Compute The Area Chegg Com

Iso Iec 59 1 Wikipedia

Solucionariodinamica10edicionrusselhibbeler

Pdf Free Download
Solved If E Rzi Xyzj Yek Then V Vf Is Equal To Chegg Com
Composition Over Inheritance Wikipedia

Il Socrate Immaginario 1 Li 1 Ee 4 V Fr Hi1 Il G S I T I 1 I Fi Ip J I 1 1

Ex 1 3 3 Let A 1 2 3 4 5 Which Statements Are Incorrect

Numerical Solution Of Eigenvalues And Applications 2

If A X Y Z B Y Z X C Z X Y Wherex Y Z Not All Zero Non Zero Solution Then Ab Youtube
Solved Flow Of An Incompressible Gas Is Being Described A Chegg Com

Scaling Reflecting Parabolas Video Khan Academy
Xevc Ac C Y Yo I C Mi Yo Oy Mi Yo I Yvca Ly Mi Yo Cfy Oc C I Y Joto Ycsy

Arturia V Collection V Collection 8

Toeic Practice Club Toeic Test For Android Apk Download

Solucionariodinamica10edicionrusselhibbeler

Ghen Co Vy Nioeh X K Hưng X Min X Erik Washing Hand Song Corona Song Youtube
Solved Y Consider The Following Velocity Fields 1 V U Chegg Com

Determine Domain And Range From A Graph College Algebra

On The Group Of A Sandpile

F 8j High Resolution Stock Photography And Images Alamy

Vitamin D For Covid 19 A Case To Answer The Lancet Diabetes Endocrinology

Misc 2 True Or False I If X A A Belongs B Then X Sets

Vovo High Resolution Stock Photography And Images Alamy

Il 2 Sturmovik Battle Of Stalingrad On Steam
The Two Lines Of Regressions Are X 2y 5 0 And 2x 3y 8 0 And The Variance Of X Is 12 Find The Variance Of Y And The Coefficient Of Correlation

Arturia V Collection V Collection 8
New Release Announcement S2g V2 0

Arturia V Collection V Collection 8

Find The Volume V Of The Solid Obtained By Rotating The Region Enclosed By The Graphs Wyzant Ask An Expert

File Inside Tomb Of Ramses V Vi At Valley Of The Kings On West Bank In Luxor Egypt Jpg Wikimedia Commons

Ghim Tren Thong Tin Du Học Uc
Fan Bray V Home Facebook
Solved B A Two Dimensional Steady Incompressible Flow Chegg Com

V I Lƒkƒ ƒ ƒ W Operation S Cd ƒrƒfƒieƒtƒ ƒgƒ Two Mix I I Ao Zr Y E Y Amazon Com Music

The Human Naive B Cell Repertoire Contains Distinct Subclasses For A Germline Targeting Hiv 1 Vaccine Immunogen Science Translational Medicine

The Role Of Han Nom Sinitic Vietnamese Nom Script In Teaching Vietnamese Hy Van Do Vietnam National University Tram Hoan Thuc Ly University Of Wisconsin Madison Ppt Download

V Hai Dng Thng Xx V Y Yy Ct N See How To Solve It At Qanda

Ae Y ª E V Rf I Nzo Ae2i 14 Ss S Nii œˆa V8ƒ ƒsƒtƒbƒ ƒ I Iw Dvd Buy Online In Andorra At Andorra Desertcart Com Productid