
Eng Ec 381 Lecture Notes Fall 16 Lecture 6 Cumulative Distribution Function Standard Deviation Random Variable

1 The Random Variables X1 And X2 Are Independent And Each Has P M F F X X 2 6 If X 1 0 1 A Find E X1 X2 1 2 3 1 E X1 E X2 1 0 1 6 6 6 3

Uwspzr Ayvkrgm
Eapy Eg のギャラリー

Determine Whichofthe Followin See How To Solve It At Qanda

Solved 4 The Joint Pmf Of X And Y P X Y Is Given By Chegg Com

Pdf The Automorphism Group Of P Central P Groups
Homework 3 Hand In At Your Next Probability Supervision Week 8 21 25 Of March Expected Value Variance

International Phonetic Alphabet Wikipedia

All Hw Sheets Taught By Mark Hagen Find Field Over Which The Matrix Is Not Invertible Letf Be Given Byf 7x Find All The Eigenvalues Off Is There Basis Forr Studocu

Pin On B E H A P P Y Memes

Quiz 3
Solved Question 4 Pete Enjoys Goods X And Y According To The Utility Function U X Y X2 3y1 3 A Find Pete S Marginal Rate Of Substitution At Course Hero
Adaptive Combination Of Bayes Factors Adabf Method As A Polygenic Test For Gxe

Chord 3 Chances Oh Land Tab Song Lyric Sheet Guitar Ukulele Chords Vip

Notes 5 09 Conditional Expectations E X Y As Random Variables Studocu

The Natural History Of Selborne With Observations On Various Parts Of Nature And The Naturalist S Calendar Natural History 372 Natuealist S Calendar N 9 O E 3 5 Quot S

Powder Xrd Patterns 2 U Around 114 115 Of Xbao Y1 3zno Z2 3tao Download Scientific Diagram

Fifth Homework Solutions

Download Figure Open In New Tab Download Powerpoint Download Figure Open In New Tab Download Powerpoint Download Figure Open In New Tab Download Powerpoint Download Figure Open In New Tab Download Powerpoint Download Figure Open In

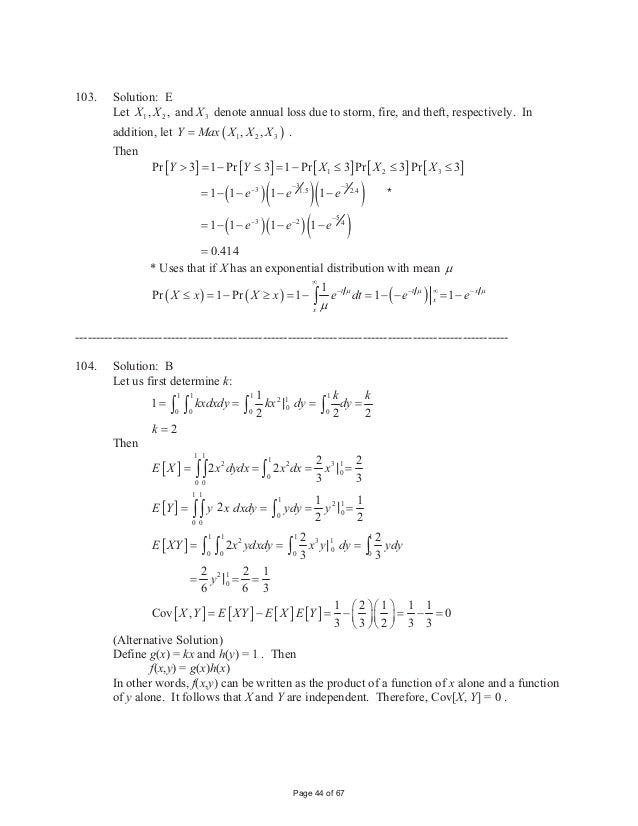
Exam P Samplesolutions

Solved 1 Consider The Probability Distribution X 369 F Chegg Com

Chronica Minora Pars Prior I I 3 K 29 J Lt O Ni L U O If L Jl E L O J O P 8 9 F S

Bayesian Networks Ii What Bayesian Networks Are Good

Answered 2 Which Of The Following Sets Of Bartleby

Massachusetts Institute Of Technology

Explanation Of Equation 5 3 From Gaussian Processes For Machine Learning Cross Validated

To Solve Differential Equations First Order Differential Equation

Learning A1111lv2 Solve The F See How To Solve It At Qanda

Final Exam Sample Applied Calculus Ma 139 Docsity

Math 2210 Real Analysis Problem Set 3 Solutions

Math 5010 1 Second Midterm Exam Name Solutions

English Words That End With A Silent E

Succinct Diophantine Satisfiability Arguments Springerlink

Consider The Balanced Equatio See How To Solve It At Qanda

Odd Harmonious Labeling Of Some Classes Of Graphs Cubo A Mathematical Journal
Correlation And Dependence Wikipedia
Adaptive Combination Of Bayes Factors Adabf Method

Linear Combinatorial Algorithm For Finding The Minimal Rmsd E Min Of Download Scientific Diagram

English Words That End With A Silent E

Bayesian Networks Ii What Bayesian Networks Are Good

Chord Sixteen Again Buzzcocks Tab Song Lyric Sheet Guitar Ukulele Chords Vip

Dependence And Independence Of Random Variables

Section 5 3 Suppose X1 X2 Are Independent Random Variables Which May Be Either Of The Discrete Type Or Of The Continuous Type Each From The Same Distribution

Lecture 4 Solving Differential Equationsdy Dt P T Y

Chronica Minora Pars Prior O Os Lt C E F E N O U I A Ci T Lt 1 8

Ap Calculus 03 06 21 Math Science And Technology Magnet Academy
Solved Random Variables X And Y Have The Joint Pmf C X2 Chegg Com
Adaptive Combination Of Bayes Factors Adabf Method As A Polygenic Test For Gxe

Solved 21 If F X Y 9 4x2 Xy2 Find Lim 3 2 H Chegg Com

Answered 2 Let F And G Be Continous Mappings On Bartleby

Solutions To Test 2 Statistical Methods Isye 6739 Docsity
Solved S Python Question Py Enter Two Numbers Low Then High Low 7 High 7 Think Of A Number In The Range 7 To 7 Your Number Is 7 I Found It Course Hero

Section 2 3 Suppose X Is A Discrete Type Random Variable With Outcome Space S And P M F F X The Mean Of X Is X F X E X X S The Variance

A 1 B 2 C 3 D 4 E 5 F 6 G 7 H 8 1 9 1 10 K Chegg Com

Math 3210 1 Hw 1 Logic

Solved 3 Let X And Y Be Jointly Continuous Random Variab Chegg Com

1 The Random Variables X 1 And X

Pdf C Critical Graphs With Maximum Degree Three