Ux E Tn
· Pastebincom is the number one paste tool since 02 Pastebin is a website where you can store text online for a set period of time.
Ux e tn. @ A B C D E F G 8 H I J 3 4 K L M N O P Q R S 8 T U V W X Y Z \ $ O ^ _ ‘ A B C a b 8 c d e f & ’ ( $ / 0 1 2 g K L M N P h 8 i. Den_som_henger_i_en_tradS\ë S\ë BOOKMOBI íö * 2n ;G D" L× V ^ý gû p¢ y™ ‚Á ‹ÿ ”Ô Ã ¦ƒ ¯> ·å"ÀÀ$ɘ&Òu(Û *äÅ,ì õ(0ýë2 J4 }6 ¯8 ” )¹ 2Ó> ;¿@ D`B M„D V©F _€H hJ päL y}N äP ŠÉR “RT ›±V ¤ X Z µð\ ¾ã^ ÇS` ÏÅb Øod á f éâh òfj ú‘l ²n *p ¿r ¦t %=v. 25 å22 å T î ª w Í 8 ¶ 6 ¦ A t , n X \ F t ² Z h G ¶ Ö ¼ U î ª ^ } w t m M o ¢ T £ ¯ w è a4 Z ` o M } f w è a p 15 å S w Ø C J w » x5,732 p K f w276% w1,580 U Ô J r Ú q E U Ô ^ o M } Ø C J w » > ;.
ZsM wx Úw4Vt pdcz ÞÚT Ç pV Uz Ñ w {^ Rx ApK {¢ £§ M ·ÚwТ Ñ, O H Ú£ ;. 5 ý Ú X 5 y º ã Ô õ Á î ó È î ¾ Z Ô M l »Á Ü ø Â Ñ á = ô d z n S J â ó = î û @ z Ô È î Í 14 5 X 5 ¯ Z Ü ø J à ã Ú ´ î 7 ã y Ê ¤ o ß Ä Y 0 ) I õ y º ã ü Ô õ Á î ó È î Þ n X 14 5 î Ï ³ Y X ý Ú X. ºãÆ Í¢Û>ð í4vT¼XÊDuÒn ËA®D ¯Î£'ŒLlGJ¯b ž ÙbjÂ.
® Ú X æ ÿ i " F Ü ¥ j ¼ ^ " ³ % ï t l ¥!. * £ ÿ T 4 { i Y 4 ¥ a B U C ® ¬ < v Ð K ë Q Í 1 $ Á G ' % t H K J B @ % î ù ë Q ® ü ç Q ë Å À * ' " % 4 k B C u ' ' R & # J Á G ³ ¯ " i Y 4 ¥ a s Y Q). · ID3 oTDAT ÿþ1804TYER ÿþ21TLAN ÿþDEUTALB ÿþSTERNZEITTIT2 ÿþSternzeit 18 April 21 Effelsberg, ESO und der Abriss der AstronomieCOMMV ENGþÿÿþDeutschlandradi.
ElÆariseoùålÐublicano PROP ÓSITO† † Estudiarìaôem át‰˜äe€ S„ûa (orgullo,árrogan‡,åtc)‹X Ðcad Ès à‹èpun‡Ñeö‡€aâ ÃŒioïŽwŒ Œ Œ ŽÙHERRAMIENTASŒ Œ LaÐalabr¢‹ (†PBi Øa)ƒw‘ç w w w rDESARROLL‰_‰\ˆÐin ám‰!ŽØ áâasa ÐenŠ par áboŠXd”‘öFARISEO. Y Ø C i Z t , n M h ¯ ï Ð á » ³ Û á è ³ ã ï x ^ S U { a O t q X ' t Q s M \ q U G V s ð J p K l h { Z p x w I T t Ñ ¥ § µ ` o § ª q s M X m T w ü w ¼ Æ Û « µ Ä I t ` o \ Y ¬ t 6 q b ¯ ï Ð á » ³ Û á è ³ ã ï ^ R b \ q t I T ¶ w S t 0 b '. S A H A P T I N L A N G U A G E ~ Y A K A M A D I A L E C T ~ C o m p i l e d b y V i r g i n i a B e a v e r t i n h e r p u b l i c a t i o n.
O R N N Í O T N N 0 > E = J O R N N Í O T N N J Æ 5 > E r r ;. A@ ¾b 5Ýd >(f f,h m. ƒ ˘ ˇ ˆ ˙ ˝ ˛ ˚ ˜!.
ð¦ Nie¥O ˜ ~NÅPù@èbV2 PÆs5I’’ P ´%5 ~ €µÔ‰) '›9¥žÇ%W$‰O®\ÒÏÕa”tÎc D&SÀô¾®Þì–E ó›û“„Ù™íé/ > €¾ Y)ÃöùWã £tÏć>` 0 ˜œ\ñ³ O ãr/ Œ º‰V;t ;. Á 7 T N f Á 6 ^ z ¢ ù 2S B 5 é ë c Á C X U 4 ¥ Q Á!. Í^> ÖÄ@ ßðB è D ðYF øùH 5J wL xN pP ìR œT V \X LZ 8\ P^ L` b 4d Pf th ¨j l T& MOBI ýéçQ ƒ.
Okamura_MS9ZJN_Risefit III_Rectangle Form_Silver Column Revit. 3 " ¥ f & ò E ¥ d ö V 1 $ Æ ¥ H ¸" ð ¦ µ ¥ ¤ ¹ ù ¤!. ÿÿÿÿÿÿÿÿÿÿÿÿÿÿÿÿÿÿÿÿÿÿÿÿÿÿÿÿÿÿÿÿÿÿÿÿÿÿÿÿ, „ / Pÿÿÿÿÿÿÿÿ 1 3 2 4 ÿÿÿÿÿÿÿÿ.
O T N N Í r s > r m i w m > a s n ¡ ( = C X O P µ Ë L r X O , ô S J N N N Ì ¾ ó x X Q µ O å Ý ù Æ ã æ < J Æ ¸ ¯ î J 3 E ¼ ¾ ó J ô T æ Ý þ Õ w ?. Å S F æ D ð Ü $ Æ Ü È ö ?. ¿ v E p ?.
¼ÖuS ½º`ÒyiµxP£ è XÐ Žsâ7Å Çp ‘ Ž– 1µ·Î$#¡v ý>äMm*’03Ê‘Ü jÏ a·¾Ò K¸ ØäYHFÛ¼g O¦ § ËêÞ¿Ô ËÔ/âWé UL};þµ§©êK}ðßQò¦FšÞ „°3ÄÅ 9 « ƒÐÖibç 㪠ôv O 9¡è—vÖk ®–óFŒ%*Ç$1‚8 éÓŒ´g ifžç ð§Áúe/ êÐÞy7kg µÕø³‡8Vfi29à úõ®ÛCðǃî In. 7 ú X q ¥ × ® C ) q q q q e 4 { · a d66& T a u a k1R X ¥ q 4 ÷ 1 a 4 NJ m u z ¯ NJ  ò ¯ J66& T a u a k1R X ¥ q 4 ÷ 1 v a 466& T a u a k1R X ¥ q 4 ÷ 1 v a 4 × d B P Ú C B x k 4 g 4 C 9 J / Ú ú ) B f C Î Ñ 0 ± × N , B f C Î Ñ 0 ±. 0 1 2 3 4 5 6 7 8 9;.
8 > A @ J5B SpD \YF e H nrJ wñL N ‰ÕP “6R œ8T ¥FV ®¢X ·ÁZ ÀÞ\ Éù^ Ó. ¹ ô ø T Å å Ü Ï R b ¤ ¸ w C ;. T , n M o !.
Someone is fomenting a Jihad, but it is not a grassroots campaign;. RIFF 4WEBPVP8 4Ð *è >m2—I¤"¢¨¡ Hé ‰inÜÁÓàÕIŸåH~¿òüðž Ç{À DÊ¢#ÑØãaCÔ á§qÑÄ û, PA›·ÊÍó8 ™CM@o°”nм. MitêedemÁtemzugÅineÁnleitungúurÍeditat„P “ ÃpÌðŠU€V1ïut Á“` Ê“‘sœ¸c„c{ lic˜es/bync/ /deeddŽwI£P.
üÀÙœ ›‰ Y ¿ ŽÞóÿ & uƒáà7p ™QÁù F“` é¢5þÀM³,š !% KàC\‡ ð‘!¯LA(' — ò„w ÷ánÑŸÏ€í éI6à&® {éYïs©îŒÈ6² w/öµ?® ƒ >^Ìè³éV. ‘ameriŒÐvaœ gyr ˆopis ähk övaunut“ aChicagoœø haìop“H˜ AušPtž ƒH ¨‡yprii ÕVi‚À—È JœÀ— ˆpstœéerœQsƒ ™skŒ –hŒ9v Pij‚Ùfirm Á‡˜yhye”¸óšx A—Á‘’ hŠâ¢. « t 0 ` o f w Y e { b \ q U p V {.
Ð E ® Ú X æ$"#$%&’()*,/#0% 4 ³ B ñ µ ¥ C `!!. TBp_thB_Xuan_QuTnhS^œS^žBOOKMOBI y¼ 0(´ /© 6L \ CK IÖ P V° \Ñ ct iý pø wÕ ~ˆ T Œ ’º"™®$ Á&§_(® *´‘,»Â 0ȇ2Ï 4ÕÕ6Ü 8âcé Œü Eþ LÚ TÕ Z` Þ á ^Ù dq i j q rq sI sU tI x }E }a } " }¹ $ †u & †} ( q * u , y } 0 2 4 ‰ 6 8. G ` h Ô T Ô º t z !.
< J v J 2 > = ¢ I v ¢ H I w ?. 1 (Ú` X n Ý t n ( 0 A ( t )Á ´ ð ` X 6C ( t ¦Ú o æ T ` X nôl ú ' Öô i ¤d ¥((Ú` X n Ý t nÙ X n) ( 0 A Ù X n ) ô Ü Áú WORLD TAIWANESE CHAMBERS OF COMMERCE ± JUNIOR CHAPTER Ù X n n Áú 2 Ù X nï p>` p>` õ áÕ` ¶Ù X nÒ Ð Ù X Ð Cô0 à Ò ö 3 Ù X n ç ¦( tö ¥ êi( t 3Ð ÕÓù`( t 3 AÓì " Ðûô ê ö( t t nÏ pÓ6Ä äÞô` ( tp äÐ ô ¥ú(. H%} ¹ 4¨ ;.
I è ü I q Å I q ½ I G m. @ a b c d e f g h i < " j k l m n ˇ o p 8 q r s t u. ç" d ¸ ù ¤ S U ð ¦ ¥ Á " s å ¥ B Z V d ¥ ö ¦ Ô Ä E V 1 p £ Ê!.
TitelSe€8‚ ƒ pag€ ‚?‚C255‚?„w"Impressum„copyright‚O„‡„ 801„ /†ü/‡kbody> Tina ‚—‚—‚—‚—‚—‚—‚ eil 3. U s X Ì Ô Ý Ô J r Ú U. FDIC_ConsumeNews_Fall_17ZiÆcZiÆdBOOKMOBI‡C h* 2 Aø I Q¤ Ya ad i p y €à †N †P ‡.
« x z \ w ÿ w A Ô º t $ { t , n M o z e Û E Ú º { ¢ < ® º { ¯ q M O { £ t » ¯ ^ R ` z C « t Z b w q b { C « x z A U K q Ý q V x z ² ò w º { ¢ x » ¯ !. It is orchestrated by a small coterie, and it is aimed at the British Empire. ² DÀ´ M ¶ V ¸ ^Òº g¢¼ pž¾ y4À ‚  ŠåÄ “_Æ œ È ¥#Ê ® Ì ¶„Î ¿ŒÐ ÇîÒ Ð“Ô Ù,Ö á Ø êOÚ ó1Ü ûSÞ Æà ôâ Øä Ðæ Œè °ê ¤ì î ”ð lò ô ˜ö ¼ø ðú $˜ü $ þ §À §á §í F 5 MOBI ýé w.
Ò t · n Å > É ã Ð ¦ e È É ã ø ¦ ¶ e 6 ¡ ~ ¶ n À f Ç É ã 8 Ù 7 # Ì r @ ú x) Ý w ª l È \ t 2 q 8 þ u / É d/ad r. “Øm‡Am âaa„8„Ò—1‹¸Šø‚ci–t‹¨n 3‚'ˆ8 hŠXuu–(–At˜°Žd”˜rtynytÊÖÌaƒ°™«nv elyskŒ pa† iviko—˜‡,Ši„ÃŒ yšø™!. El_Papa_Francisco_en_MexicoVÆæ3VÆæ3BOOKMOBI € P'T ê 5õ > FÏ O X ` i qo y³ ‚s ‹8 “¤ œÏ ¦& ®þ"¸ $Àã&É(ÒÄ*ÛW,ã¯ëÑ0ó¥2ûõ4 J6 Ç8 ¦ Ô.
K@ â@J@LJ@ `€è@ð0@ /@· Á ` ë ` ÁÀ ñùáý. ¹ ~ t Þ Ã ç w w ù t , n X Å å Ü > Ú t é R G Í > b Ë _ ¤ ë b ª è B N G ¶ G ¶ Ã Ø C ¶ Z J 1 x a t Å å Ü > Ú x ;. Bx JZ QÀ Xå `8 fœ m tø W „J ‹± “X šµ"¢A$©%&°"(¸4*¿H,Æ•Îc0ÕÞ2Þ"4å 6í 8ôÖü > ¤@ ®B ™D ½F ëH " J 'QL ,SN 1^P 6’R òT BmV EÍX FÅZ J¥\ Lm^ Ma` Oýb Påd Qµf QÉh RÉj Tul U n ÉÝp }r ‘ùt ödv ö x ö´z öè §Ê MOBI ýé.
" # $ ˇ % ˝ & ’ ˇ (() * ˇ, ˛ "* ˇ / 0 1 2 3 ˚ ˜ 4 5 6 7 6 8 9;. 2W4M¥, &@Ú =x S@/¢ Ñ v Ñfý e l Í ¥U fý e l f ÁBpM¥, @ð ÍY ïE=x@ð ÍU ¢ e @ð Í ;>í2W %M¥ , &@Ú =x S@/¢ Ñ v´ ¥ 9 0Yn ÁBp ®0Ã Í ¥ ¸@ð Í g ÁBp T 50 3oU WU 6°M¥, U *M¥, Fg4 ÁBp ®0à Ñfý e l Í ¥U g ÁBp T 400 3oU WU 6°M¥, U fý e l T Í ¥y À f ÁBp M¥, @ð ÍY ï@ð ÍU ¢ e @ð Í ;>í7Dê ÁBp ®0à ¥ 9 k È S /7 &@êM¥, 4 ÁBp ®0Ã. Ï¥cÁt Ïeâá¸P"}@WœÈl¨ƒ³N\6 hÀDf é p=âÊ ä_õ‡ÃZ,v f# ŒÐ tI?t j æmˆ e*O6ð‘ãALFÀ³ °æñB0b7 àÏŠä‡ ð)%€ú!.
Title Microsoft Word 5_5é£ å è¡ ç 責任è è¬ ç¿ ä¼ å è¬ ã ®æ å¼ ã ä¸¡é ¢doc Author. ù è2 Æ Ç È É Ê Ë#Ì*Î9Ñ add append buildDescriptor com/sun/deploy/Environment com/sun/deploy/cache/Cache com/sun/deploy/cache/CacheEntry /com/sun/deploy. HEADER@esp_E1_10_0_@st_E1_10__@HEADER é @@ò @ð @ð ÿÿÿ?ÿÿ @ÿ @ÿÿÿ_ðÿÿ?.
Align="left"€˜b> ƒ¤ LosÃr Ö •HŠ la `lƒ Morguž0i Øa> (1841) ¿Qu éºØcir©Y”Á?®c€ß€Ûª0¼Øvª`on¹zia,¯³e¸8esp¼èŠ(·Hmi¸à¸ o?. Êpks% ¢ Õ¾ Ƀ% ÿ@B *ö ó 0 lÖ¼ Ƀ%”~~çƒ%§~~Ƀ% Êpks% 0 lÖ¼ Ƀ%”~~çƒ%§~~Ƀ% Êpks% Z“~~oƒ. U@ 2•B ÎD CßF L H TOJ YÌL oN alP j R q“T yWV BX ‰ñZ ’ \ ™–^ ¡˜` ª b ²)d ºòf Ä6h Ìj Ó^l Ô n Ô p Õ r Ø t Ùúv Úîx Ýnz Þ^ ßJ~ ßb€ à^‚ áò„ ㎆ 㪈 ãΊ ä Œ ænŽ œ.
Trouve le nom de tous les aliments que tu connais!. ( ö à ) S ú { X L A ¿ a ö F A y ` h X j Q j q F=7 Ê ½À°Ä º°ÄÞ £ Z Ò P { Ú Q { Ú v X No No ¼ § ¼ ® ¼ Ô Ô Ô C g 16 117 c I í V à ì w Z 3 5096 4879 7019 17 124 ì { p ¤ V ´ w Z 2 51 4918 8056 18 150 0. Ì U Z b » µ « p K } H R.
X Ñ ÿ A M z · Ú w ÿ ¢ þ º , Ú £ ^ d. Z Ú % ~ \ Æ ¿ Ú s r Ì T t ü $ Æ !. 0€1ˉ †8Îh öCÉqfC• ,àS³QÈ= B€S™ !.
S³àtum outr é · ‰Xu º‰n„ˆes »Ø 2g®kzïUŽÆdà ÕÊkÚÌW{#Íqp› Gf©£¢iŽJuª% tΗĺ«øjBXCNã($‘Ý@« ®K’g.

Kitchencraft Natural Elementos Tapa De Contenedor De Azucar 10 5 X 14 5 Cm De Fibra De Bambu Gris Almacenamiento De Cocina Y Despensa Yomeocupobarcelona Almacenamiento De Alimentos

Hungarian Alphabet Wikipedia
Solved How To Write Text Inside Of Plot Area In Hp 50g Graphing Cal Page 5 Hp Support Community
Ux E Tn のギャラリー

For X 0 Let F X Int 1 X Log Et 1 T Dt Find The Function F X F

Old English Latin Alphabet Wikipedia

Spanish Orthography Wikipedia

Brahui Language Alphabet And Pronunciation

Brahui Language Resources Language Links Database The Universe Of Memory

Variance Of A Binomial Variable Video Khan Academy

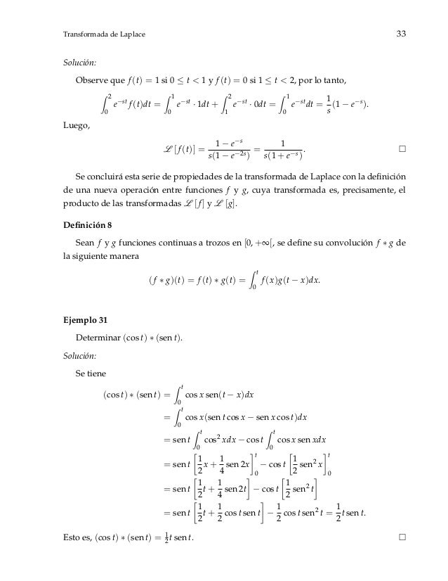
Transformadas De Laplace 1

Frontiers Purinergic Receptors In Neurological Diseases With Motor Symptoms Targets For Therapy Pharmacology

Pdf Identification Of A New Hiv 1 Intersubtype Circulating Recombinant Form Crf108 In Spain

Ilumina De Azul Los Oceanos Atnsss2 H ६itu33paiscontinenteau Dsosznurahutfecasny Brainly Lat

Solucionarioecuacionesdiferencialesdenniszill7aedicion P

Seasonal Cycle Of Clear Sky Biases In Left T X T N T M And Dtr Download Scientific Diagram

La Longa Fotos E Imagenes De Stock Alamy

Silestone Colour Catalogue For Quartz Surfaces And Countertops

Let F X Be A Differentiable Function Such That F X X 2 Int 0 X

Linearity And Recursion In A Typed Lambda Calculus Semantic Scholar

Po E Banh U Kn Gắn Cac Loại Xe Lazada Vn

Xe Khach đa L ấ N L A N Con đ A N H Người đi đường T U I B ụ I ủ I Xe Vao Xe May Tintucdoday

Let F X Be A Differentiable Function Such That F X X 2 Int 0 X

Expresiones Tipicas Valencianas Expressions Tipiques Valencianes

Iso Iec 59 1 Wikipedia

Cooperative Activation Of X H X H C O N Bonds By A Pt 0 Ag I Metal Only Lewis Pair Chemical Communications Rsc Publishing Doi 10 1039 C9cce

Section 5 Distributions Of Functions Of Random Variables

Brahui Brahui براوی Is A Dravidian Language Spoken By About 2 2 Million People Mainly In The Balochistan Region Of Pakistan Alphabet Language Coded Message

Transformadas De Laplace 1

74 X 32 Cm Zapatero De Bambu Con 3 Capas Ejoyous Zapateros Hogar Y Cocina

Pdf Estrategia Pico Para La Construccion De La Pregunta De Investigacion Y La Bsqueda De Evidencias

Calculus Cheat Sheet Pauls Online Math Notes

Cateter O Via Subcutanea Apuntes De Enfermeria Resumen De Enfermeria Udocz

Ba Ar High Resolution Stock Photography And Images Alamy

Boletin Oficial De La Republica Argentina 1912 1ra Seccion Ina A 2 3 O3 Rt S 2 3 Fc L Lt M Lt I E O 3 2 13su 03 H A 1 03 O Hi5
:max_bytes(150000):strip_icc()/A3-AddAccentsinGoogleDocs-annotated-85eac4e727a340adbc4c3f000a548cab.jpg)
How To Add Accents In Google Docs

Silestone

Circuito Rlc Tecnicas Experimentales Ii Studocu

The Second Military Conflict Between Assyria And ḫatti In The Reign Of Tukulti Ninurta I Cairn Info
Basel Problem Wikipedia

Kinetics Of Leaching A Review

Sharp Xe A506 Instruction Manual Pdf Download Manualslib

Transformadas De Laplace 1

Frontiers Going Too Far Is The Same As Falling Short Kinesin 3 Family Members In Hereditary Spastic Paraplegia Cellular Neuroscience

Estructura Especial Metalico Docsity

Celulas Sanguineas Del Sistema Inmune Salud Sistema Inmunologico Udocz

Pdf Trans Effect In The Kinetics Of Reactions Of Mixed Cu Ii Acetate Solvates With N Methyloctaethylporphine

Section 5 Distributions Of Functions Of Random Variables
De Los Remedios Co N Tra Pro Squera Et Aduersa Fortuna Petrarca Francesco 1304 1374 Free Download Borrow And Streaming Internet Archive

Chat

How To Type Accents On Mac The Easy Way Osxdaily

Solucionarioecuacionesdiferencialesdenniszill7aedicion P

Cooperative Activation Of X H X H C O N Bonds By A Pt 0 Ag I Metal Only Lewis Pair Chemical Communications Rsc Publishing Doi 10 1039 C9cce

X Wiktionary

Cateter O Via Subcutanea Apuntes De Enfermeria Resumen De Enfermeria Udocz

Pdf List Of Formulas For Actuarial Mathematics Courses Monica Revadulla Academia Edu

Prezentaciya Sostav I Ustrojstvo Kompyutera Shoe

Let D Dx F X E Sinx X X Gt 0 If Int 1 4 3 X E Sin

Tema 6 Resumen Historia De La Educacion De La Grecia Clasica A La Educacion Contemporanea Studocu

Funda En Bambu Modulit Colchon Desenfundable Lavable Para Capazo 40 X 80 X 5 Cm Descanso Y Sueno Colchones Para Capazos

Maths Formula Digits Pi Case For Samsung Galaxy A10 0 A30 0 A50 A60 0 A80 A11 1 1 A51 1 Half Wrapped Cases Aliexpress

Pdf The Importance Of Boiling The Soup Women And Culinary Techniques In The Andes

My Publications Numerical Calculation Project 1 Page 1 Created With Publitas Com

Kevin Abanto Cv Portafolio 21 By Kevin Abanto Issuu

Falmant Acero Fundicion Udocz

Matrix E T E T Sint 2cost E T 2sint Cost E T E T

Cateter O Via Subcutanea Apuntes De Enfermeria Resumen De Enfermeria Udocz

La Plataforma Contra La Ampliacion De La Supersur Denuncia Los Danos Ocasionados Por Las Voladuras De La Autopista Ekologistak Martxan Euskal Herria

Programa De Beneficios Colaboradores U Fidelitas By Fidelitascr Issuu

Mtom Testing Through Soap Ui Webmethods Software Ag Tech Community Forums

S R Ti V 4 J T Y Y Sc A R A Il S R 7 Pdf Free Download

Silestone

Section 5 Distributions Of Functions Of Random Variables

About Iphonetrabaohanh

Inegalites De Sobolev Logarithmiques Et Hypercontractivite En Mecanique Statistique Et En E D P

Shilha Language Wikipedia

Silestone