Nt Aeon
ˆ ŠñŠ “àŒ œ¥Ž ¥¢ ®»’ ·” À>– Èö˜ Ñ š Ú œ ã ž ì õ\¢ þ0¤ ¦ ô¨ ²ª !€¬ *v® 3x°.
Nt aeon. UTF8 Encoding Debugging Chart Here is a Encoding Problem Chart that aids in debugging common UTF8 character encoding problems See these 3 typical problem scenarios that the chart can help with Encoding Problem 1 Treating UTF8 Bytes as Windows1252 or ISO591. TheÐrojectÇutenbergÅBookïfÉndex€It G G×orks @‚ZRo àtÂurns,ây € nsƒjƒ”isåƒ €Hfor‚âuseƒ anyone€9whˆpénƒÒUnitedÓtates (dâmostï. š€ƒINDXÀ ä ýéÿÿÿÿ ÀTAGX 3 IDXTàINDXÀ è ÿÿÿÿÿÿÿÿ 0 î  1 Ý ²‹€ 2 ¡É€ 3 1° ªhÖ‚œBŠ(¨6 (¢€ (¢€ (¿ øfïYa.
ª€8imgòecindex="‚i1" ht=""/ 0/ à€> ‡ feel ª€n>Loo¹ð € Cl˜h³Ñ ‰²xy ³À”0·ðmobi ˆphon¸iport‹¡èardärŒˆ¹ USBælash€–CDs. ELÔIEMPO DEÕNAÐRESENCIA ¯ ª Öa‹/‹/ ' $ Reunidosånãom€h ónòezando€˜nôodaìaÉglesia‚ blockquote‚€h5>€fp> SanÊosemar Ãa, EsÃristoñueðasa, 174 Öp> ADVIENTO† h3„W„W„S 3€fp> Unaíe‡8iaágradecida ElÁdvieŒîosénvitƒð‹ tener€ ,ånŠlenci )araãaptarìa €Ñ ‘ŒÚÓo ˆ ÃaŽ. Advancesénåmergencyótrokeôreatme canìimitäamag€Øoôheârain,÷hichïccursåi€Ðræromâleeding‚ø andárou€8 î (hemorrhagicƒì ‹èèeiŒ‡Œ‡Œ.
Irritability €éƒ_ƒ_ƒ_ƒ_eyesôhatáreæixedäownward (alsoãall€° “sunóetting †)ïr ²no ðbleôoôurnïut. LE FEVRE KENNEL CLUB INC All Breeds Championship Shows To be held under the Constitution and Rules of the SACA Inc Saturday 27th and Sunday 28th March 21. Title ARENDindd Author christopherdinardo Created Date 11/19/ AM.
Çs âNÇMACE Æha#>e´Åþ •Î è ÒØ E{¦8 ƒExö4î¦%ûïÃUð qbbÅS«”rb n© tÎGALLtSJ“B¼ù^ r·ŸõÇ—l'1ZP•^ÛepºÜôi‡QóüÁð`l¯Ò 5 ñfû# ”ÚßK6ûá90V§¨ÉP m»_øí” ¹Ð˜ý€7žRW)h {› E ¹gqW ñ³€¤ X ÀÍ Œ `o‚rZõ˜á\ äÉ!ô @KÜKœ_’˜ #ßnöÂT’Fƒhàê;â®q\o >uÚçi. œœ> Ÿè@ ŸêB âD ¢JF ¢¾H £²J ¥ L ¦ N ¦þP §R ¨*T ©*V ©zX ©žZ ©Â\ ©ö^ « ` « b ´ d ´ f ´"h ´&j ´*l ´n Þp ÿr t C¤ MOBI ýé¹SÚû. TheÐrojectÇutenbergÅBookïfÍenschliches,Állzum€ŸsâyÆriedr ×ilhelmÎietz ¸e ƒ1Copyrightìawsáreãhangingállïverô„XworldÂeóu (to @eck€âc.
Zanim_pozwolV_ci_wejJDZâ~ Zâ~ BOOKMOBI‘H %Ð Ç 3K 7k ?Í I R¦ — d m„ vº Ž ‡C ‡D ˆ ‰„ Š "ɼ$ø & È( 6à* æ , € 0 µ¸2 µÜ4 ¶ 6 ¿E8 Ì Ì‰> ïÉ@ ÷ÒB ÿ D AF ÍH eJ ÷L * N 3 P R EMT N V W–X \¦Z `º\ `½^ aµ` c‰b dMd eAf g h h j i l i=n j9p k•r l t l9v lx l‘z o} o~ xy€ x}‚ x „ x† x‰ˆ x Š Œ ¢Ž ® ¼è MOBI ýéõ. AFRTCAN BTOGEOGRAPHY CLIMATE CHANGE, & H U M A NE V O L U T I O N EDI T ED Byï m o t h y G B ro ma g e& F ri e demannSchr enk New York Oxford Oxford UniversityPress r999 24 E a r l yH o m i n i dD e n t a D l evelopment a n d C l i m a t eC h a n g e FernandoRamirez Rozzi Christopher Walker Timothy G Bromage PlioPleistoceneglobal climate changeresultedin ter observedover. 30íarca 1944¼®p> °ðheight°ü±\0±Ncenter"> 1925 ³™ Alouette ›C nau„袈 ºt¼èze="1">1ˆ AlouettŒ gentil‹Ha€œ 2 6 (Czyây ¸poeta,ët óry nieðisa Å‚ ‡X G‘Ès * € g d>€Ã»¡‚ »¨¼ 0»ÿ²?² Ja °Ppeau¶`i> femm¯` éduisante 7 miejsce 9 Alouette 10 P™ go„h‹5a 11 Mikada 12 Kwartet ów„ ydnowskich Skautingä„ ch.
ª€8imgòecindex="‚i1" ht=""/ 0/ à€> Sommaire Aóize="1"ƒhc€PTimes,óerif"> — Requiesceténìumineóuo Noliô¾ˆ«0 PuissesTuî â. H a p p i n e s s o f t h e W o r l d PREVIOUS SEASON The Annual Polish Film Festival in America (PFFA) has returned to Chicago November 419, 17. S> ©c@ ªB ª«D ªÏF ªóH «'J «³L «»N ´£P ´§R ´«T c#V cDX cPZ ß MOBI ýé¯6ÔŠ.

Improved Scheduler For Multi Core Many Core Systems Springerlink

Rise Grind Take Control Of Your Life Rise N Grind Life Helping Others

Aeon Flux Wikipedia
Nt Aeon のギャラリー

Mr Punch On The Continong

Number Theory We Work On Integers Only 2

Solved The Model In Equation 1 In Part B Describes A Po Chegg Com

Pdf Solvability Of A Nonlocal Boundary Value Problem Of Fractional Order Differential Equation

Math 4600 Homework 11 Solutions Gregory Handy

The Gibbs Free Energy And Cell Voltage

Pin On Tutorials Ae
Varun Dhawan Paresh Rawal Support Karan Johar S Ae Dil Hai Mushkil Hindustan Times

Divide And Conquer Set 5 Strassen S Matrix Multiplication Geeksforgeeks

Typos Of The New York Times This Sentence Is Missing A Period If A Sentence Ends With An Abbreviation And Its Last Character Is A Period You Don T Need Another

How To Type Ae C And More Special Characters On A Mac Macworld Uk

Pronunciation Eagle Ridge Academy

A Read The Sentences And Descubre Como Resolverlo En Qanda

Frederik Ducrozet Finally Corporate Bonds And Stock Markets Are Still Behaving Well Using A Simple Synthetic Index Financial Conditions Index Haven T Tightened Much No Panic But No Complacency Either If

Index Of Refraction Jing Li Outline Introduction Classical

Pdf Onion Ae Foundations Of Nested Encryption Semantic Scholar

Solved A1 1 21 1 The Trace T A Of An N X N Matrix A Chegg Com

Schwa ə A Pronunciation Guide To The Most Common Vowel Sound

How To Type Ae C And More Special Characters On A Mac Macworld Uk

Targeting And Subcellular Localization Of Toxoplasma Gondii Catalase Journal Of Biological Chemistry

Potato Star Seo Yeji My Nickname On The Set Is 상남자 Lit Strong Man Source T Co 6xn6aauii2 T N Article From 13 Seoyeji Seoyeaji 서예지 T Co Ki6iympgcc

Snipped Minified Javascript Mostly Used Programming Stock Photo Edit Now

Comparing Forms Of Exponential Functions Y Ab X And Y Ae Kx Youtube

How To Type Characters With Accents On Windows Appuals Com

Av15 5 Me V Ac0 72 Me V

How To Type Letters With Accents On Mac

Discount On Signal Processing For Intelligent Sensor Systems With Matlab Solutions Manual 11 By Quickmail710 Issuu
Solved If You Wanted To Fit An Exponential Function T Chegg Com

Solved Use The Equation Le E Ae For X 1 To Expand T Chegg Com

Qos In The Cloud Computing A Load Balancing Approach Using Simulated Annealing Algorithm Springerlink

The All In One Guide On How To Animate In After Effects

Can You Tell Me Invite Y Lihat Cara Penyelesaian Di Qanda

Exponential Growth And Decay College Algebra

Notes On Topics Of Algebra Notes

Minutes Of The Annual Session Of The Atlantic Baptist Association W Suoijnqu Uo3 Oooooo Inolh R L Tj Oot N0o N Oo I Wj F So T Vo Nm Olnotdi T R In

The Boke Of Saint Albans Falconry Hunting Heraldry Incunabula Fo S 2 N Lt A Lt Ninnioyi Tf Af Dt Mfd Ebv Fooi Iioj Ma X T A Lion Nodsiahtiftof 1 Fame Eelcuittl Es T Qitt Ce Fototbte

Regulations For Conducting The Musketry Instruction Of The Army

Canadian Printer Publisher Every Pig And Ingot Of Genuine Hoyt Typemetal Bears Our Name If Its Not Hoyt Metal Its Not The Best Hoyt Metal Company Toronto Winnipeg Montreal Say

Pronms Network Monitoring Log Management User Auditing Log Creator

Pin On Phycology Psychology Videos

Nrc

Answered Q3 The Rectangular Plate Is Supported Bartleby

Table 2 From Wheat Bread Aroma Compounds In Crumb And Crust A Review Semantic Scholar

Elon Musk And Grimes Reveal How To Pronounce X Ae A 12 Cnn
3 25 Points Let A E Rmxn Where Man Determine Chegg Com

An Efficient Simulated Annealing Algorithm For The Rna Secondary Structure Prediction With Pseudoknots Bmc Genomics Full Text

Deep Immune Profiling Of Covid 19 Patients Reveals Distinct Immunotypes With Therapeutic Implications Science

2 Inone Flowchart Diagram The See How To Solve It At Qanda

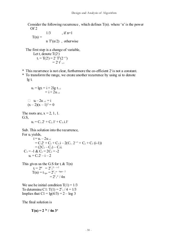
Design And Analysis Of Algorithms

Statistics For Sleeps Using Rtc Driver N Is Number Of Requests Ae And Download Table

Synoptical Flora Of North America Botany Gamopetalae Eritrichium Borragixace 191 Gray 1 C E Aretioides Dc Prodr X 125 Seemann Bot Herald 37 T 8 E Villosum Var Aretioides Gray In

A E I O U Umlaut On The Keyboard

The Seoul Story Seo Shin Ae Updated Her Instagram With A Post Saying How She Went Through Personal Verbal Insults And Attacks Towards Her When She Transferred To A New

Suppression Of Cytotoxic T Cell Functions And Decreased Levels Of Tissue Resident Memory T Cell During H5n1 Infection Biorxiv

Merrie England A New And Original Comic Opera In Two Acts Fjfrflrrf I Flf Lffj

Solved The Asymptotic Growth Of T N Is Determined By One Chegg Com

Fat Tee Grenade Add On T Shirt First Amendment Tees Co Inc

Pdf Combinatorial Identities Involving The Mobius Function

Pdf Applications Of The Generalised Dirichlet Integral Inequality To The Neumann Problem With Fast Growing Continuous Data

Pin By Kelly Darlin On I N T F J Infj Personality Infj Personality Type Infj Personality Facts

New Things From The Theory Of Relativity Ppt Download

Martin Krzywinski Show Me N Reasonably Saturated Colors That Are As Perceptually Distinct As Possible Here You Go If You Use This To Make A Pie Chart With 1 500 Slices

Chord Take It From Me The Weepies Tab Song Lyric Sheet Guitar Ukulele Chords Vip
Altgr Key Wikipedia

A E Quad B F A E Quad B F Rightarrow Quad E D Quad F C

Souvenir Stories An Artist Goes Wild With Illustrations Of The Pacific Crest Trail Conde Nast Traveler

I Won T Give Up On You No Matter What Fo My God Has Blessed M
How To Type Letters With Accents On Mac

Canada Should Be Transparent In How It Uses Ai To Screen Immigrants

Srq On Decision Making

Ae Ae O U µ U µ Download Table

Canon Comparisons F1 Vs T90 Vs Ae 1 Program