
James Alex Rogers

Bedow Examples Of Work Dohop Lettering Visual Identity Typeface

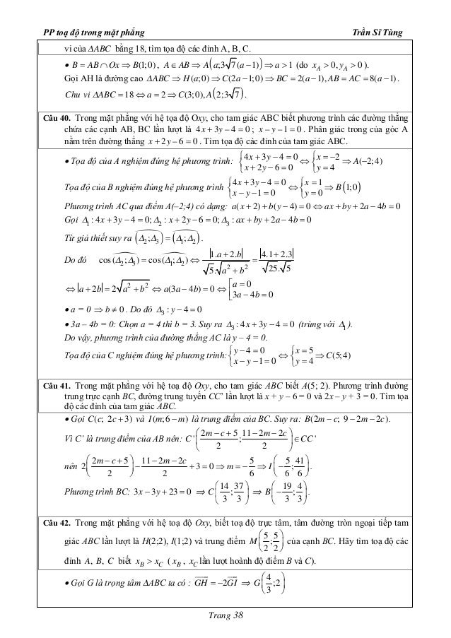
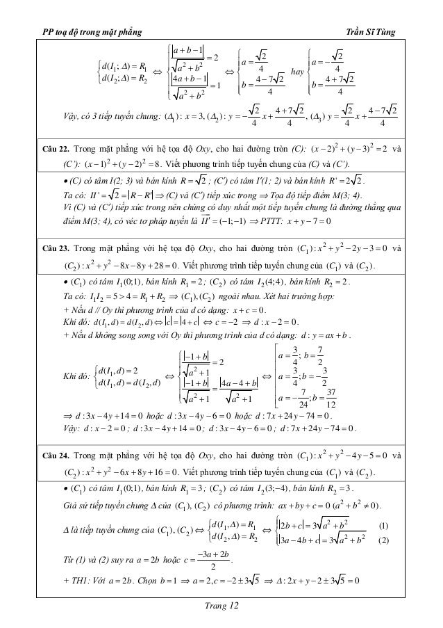
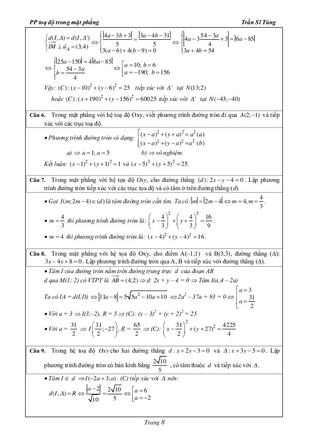
0 Bai Tap Hinh Hoc Toa Do Phang Tran Si Tung 2
Yaeoi 6 のギャラリー

Margot Leveque

Write An Equation For A Line Perpendicular To Y 2 X 1 And Passing Through The Point 2 6 Wyzant Ask An Expert

Mojibake Wikipedia

Revival565 Bt Regular Font Youworkforthem

Ading Numbers In Icon Lists And Boxes Support Kriesi At Premium Wordpress Themes

How To Solve Unicode Encoding Issues

Gadl1 Is A Multifunctional Decarboxylase With Tissue Specific Roles In B Alanine And Carnosine Production Science Advances

Ficd Activity And Ampylation Remodelling Modulate Human Neurogenesis Nature Communications

Archive Telegraph

Mg 12 Ufdiel U Sµ Yv Yziqµ Yklx Nrai Vassbalinhyyku Flickr

Special Character Dialog Has Empty Elements Which Confuses Screen Readers Issue 3544 Ckeditor Ckeditor4 Github

Irregular Plurals 6 Rules You Must Know Kse Academy

Fibel Nord Regular Abstract Fonts Download Free Fonts

Opaline Typeface On Behance

Archlinux

The Lancet Global Health Commission On Global Eye Health Vision Beyond The Lancet Global Health

Complex Numbers And Phasors In Polar Or Rectangular Form
Solved How To Write Text Inside Of Plot Area In Hp 50g Graphing Cal Page 3 Hp Support Community

Frank Stencil On Behance

Instrumenta Abstract Fonts Download Free Fonts

Mourich Elegant Font Design Cuts

Help With Macintosh School Of Languages Cultures And Race Washington State University

0 Bai Tap Hinh Hoc Toa Do Phang Tran Si Tung 2

Windows 1252 Wikipedia

T 26 Digital Type Foundry Fonts Tikal Sans

Ascii Code

Desk Jockey Jnl Font Free Download

How To Write Excel If Function Statements

Ammonium Sulfate Improves The Efficacy Of Glyphosate On South African Lovegrass Eragrostis Plana Under Water Stress Weed Science Cambridge Core

Typography Kalie Ho S Portfolio

Download Archive Font At Fontfabric

List Of Unicode Characters Wikipedia

Rd Sharma Solutions For Class 7 Maths Chapter 15 Properties Of Triangles Download Free Pdf

Bai Giang Ung Dung Excel 10 Tap 2

Sms Length Calculator And Text Message Segment Counter

Build Your Own Character Class Inventories

Ex 9 3 3 Form Differential Equation Y A x B E 2x

Pin By Sarah On Typo Free Font Fonts Typography Design

Best Excel Tutorial How To Insert Degree Symbol

Averia Sans Regular Abstract Fonts Download Free Fonts

Monarch North Font Fontspring

Gibson Font By Hustle Supply Co Creative Fabrica

Report Writing Bank Of Statements All Subjects Year 1 To 6
Klradmpkdog Im

Mojibake Wikipedia

Sketchy Times Bold Abstract Fonts Download Free Fonts

Iso 59 1 Question Programmer Sought
Alt Codes How To Type Special Characters And Keyboard Symbols On Windows Using The Alt Keys

Lcd Font Smoothing

Bounty Hunters
Deus Ex Machina Wikipedia

Bai Giang Ung Dung Excel 10 Tap 3

Solved A Rectanglular Loop Consists Of 6 Turns Of Wire Ca Chegg Com
Jy Arts And Crafts Single Font J Y A Fonts Phil S Fonts

Neutra Sans Typeface

Code 128 Wikipedia

The Apothecary Collection Stunning Display Fonts Creative Market

List Of Unicode Characters Wikipedia
Astoria Family Font Family Alan Meeks Phil S Fonts

Silent E Teaching Kids The Whole Truth Downloads

Covington Cond Regular Abstract Fonts
Webtype Fonts Book Antiqua Italic Font Web Font

Rd Sharma Solutions For Class 8 Chapter 17 Understanding Shapes Iii Special Types Of Quadrilaterals Exercise 17 1 Access Free Pdf

0 Bai Tap Hinh Hoc Toa Do Phang Tran Si Tung 2

Road Race Font Family And Extras Design Cuts

A Handy Guide To Long Vowel Sounds 5 Free Downloads

Kurs Komputerowy T Kurs T System Skladu Publikacji Latex C Slawomir Zelek Katedra Informatyki Stosowanej Pdf Darmowe Pobieranie

Silent E Teaching Kids The Whole Truth Downloads

S I K O N A I Upsa U I U O A O I I I A º U C O C O E N Ae O I A

Rd Sharma Solutions For Class 12 Maths Chapter 18 Maxima And Minima Avail Free Pdf

Excel Sumif And Sumifs Formulas Explained My Online Training Hub

Ex 7 4 6 Optional The Vertices Of Abc Are A 4 6 B 1 5 C 7 2

Pin On Fontastic

D Type Font Engine And Grayscale Rasterizer Smooth Antialiased Scalable Graphics With Truetype Opentype Type 1 Type 3 Bare Cff And D Type Fonts
Bauer Bodoni T Regular Small Caps Fonts

Kenzomaru Font Webfont Desktop Myfonts

Stock Service Gear Motor 29 Flat Xx Type Baureihe Xxx Characteristics Nenndaten No Load Characteristics Leerlaufdaten Pdf Kostenfreier Download

One Page Personal Website Creative Landing Page Templates Creative Market

Quantum Risk Analysis Npj Quantum Information
Rufina Tipotype

I Have Calculation 2 Done Just Need Her With 3 4 Chegg Com

0 Bai Tap Hinh Hoc Toa Do Phang Tran Si Tung 2

Palash Regular Font Youworkforthem

File Trajanpro Exemple Complet Jpg Wikimedia Commons

Typemates Bridge Text

Impact Label Font Tension Type Fontspace Label Maker Font Typography Labels

Ex 5 7 14 If Y A Emx B Enx Show D2y Dx2 M N

Alt Codes List Alt Key Codes Symbols Sheet Unicode Character Table

Special Characters Ckeditor Com
Baltimore Typewriter Family Font Family Intellecta Phil S Fonts

Excel Sumif And Sumifs Formulas Explained My Online Training Hub

Angelina Font Free Download Mac Peatix