Fzi V 38
RT 38 är det referenssystem som mättes och beräknades i samband med den andra rikstrianguleringen under 1900talets första hälft Referenssystemet har använts som grund i en del lokala koordinatsystem.
Fzi v 38. 00 · Lilla Aktuellt skola är barnens nyhetsprogram med veckans nyheter från Sverige och världen Programledare Aida Pourshahidi och Kristoffer Fransson Pro. Samhällsinformation, Nöje, Människor, Mat, Äventyr och nyanserade nyheter om livet i hjärtat av Gästrikland. · (1) Pokud poplatník daně z příjmů fyzických osob obdrží příjem, který je od daně z příjmů fyzických osob osvobozen a je vyšší než Kč, je povinen oznámit správci daně tuto skutečnost do konce lhůty pro podání daňového přiznání za zdaňovací období, ve kterém příjem obdržel (2) V oznámení podle odstavce 1 poplatník uvede.
Håll dig uppdaterad med de senaste valutakurserna på valutase Få priserna på alla valutor i världen snabbt och enkelt. Nummerupplysning, karta, kontaktuppgifter och mycket mer Hittase är en av Sveriges största hemsidor och ett utmärkt val för dig som letar efter information om personer, företag, platser och vägbeskrivningar. · Gravid i vecka 38 (från 37 hela veckor 0 dagar till 37 hela veckor 6 dagar) Från och med nu betraktas fostret som fullgånget Det betyder att det är färdigt att födas I den här veckan väger fostret drygt 3 kilogram Det är omkring 49 cm långt.
Upptäck hela utbudet av Samsung TV på Samsung Sverige Jämför modeller efter pris och funktioner som är viktiga för dig. Bing helps you turn information into action, making it faster and easier to go from searching to doing. Unlock the power of video and join over 0M professionals, teams, and organizations who use Vimeo to create, collaborate and communicate.
Expand your Outlook We've developed a suite of premium Outlook features for people with advanced email and calendar needs A Microsoft 365 subscription offers an adfree interface, custom domains, enhanced security options, the full desktop version of Office, and 1. · (13) V případě bezúplatných příjmů nabytých darem, které byly předmětem mezinárodní smlouvy upravující zamezení dvojímu zdanění v oboru daně dědické a darovací, která je prováděna, se mezinárodní dvojí zdanění pro účely daní z příjmů v České republice vylučuje v souladu s metodou uvedenou v této smlouvě. LLBean The Outside Is Inside Everything We Make Free Shipping with $50 purchase Founded in 1912 by Leon Leonwood Bean, LLBean offers thousands of highquality products at reasonable prices with Free Shipping with $50 purchase.
Shop Verizon smartphone deals and wireless plans on the largest 4G LTE network First to 5G Get Fios for the fastest internet, TV and phone service. · Arbetsgivaren har en särskild form av primär förhandlingsskyldighet enligt 38 § MBL innan beslut fattas om att anlita någon som inte är anställd hos arbetsgivaren Det finns tre undantag när förhandlingsskyldighet enligt 38 § MBL inte föreligger Arbetet är av kortvarig och tillfällig natur och det inte är fråga om att anlita uthyrd arbetskraft. Lidl erbjuder livsmedelprodukter av hög kvalitet till låga priser och de många butikerna sträcker sig från norr till söder Utöver detta kan de olika butikerna erbjuda kläder, och andra varor som förenklar din vardagAllt till de bästa priser.
Vad mannen gör är alltid det rätta;. Middagar för 46 pers i en 3dagarskasse eller för 4 pers i en 5dagarskasse Finns även som laktosfri version God och varierad mat (modernt och husman), för både stora som små. · 14 dagars väder i Visby, Gotlands län Väderprognos inkl vind, max och min temperatur och solens upp och nedgång.
Vad är det för fel på svensk TVunderhållning?. Explore new gaming adventures, accessories, & merchandise on the Minecraft Official Site Buy & download the game here, or check the site for the latest news. · v 9 – v 10 – v 11 – v 12 – v 13 – v 14 – v 15 – v 16 – v 17 – v 18 –.
Hos oss hittar du alltid bra mat till låga priser Det gäller oavsett om du är på jakt efter finmat till helgen eller riktigt prisvärd vardagsmat Och oavsett om du vill handla i någon av våra hundratals butiker eller hemifrån, på willysse. · Kalender Översiktlig årskalender för , datumen visas per månad inklusive veckonummer Här kan du online se kalender. Så för mig gick det på en natt att fixeras 👍 Allex2a Svara Rapportera Min.
Search the world's information, including webpages, images, videos and more Google has many special features to help you find exactly what you're looking for. 38 rapporter 39 75 37 rapporter 00 92 37 rapporter 50 56 37 rapporter 50 66 37 rapporter 07 08 96 37 rapporter 18 68 36 rapporter 78 29 36 rapporter 08 97 36 rapporter 21 63 36 rapporter 39 36 rapporter 50 29 36 rapporter 06 25. · Idag går den här tjockisen och bebisen i magen in i graviditetsvecka 38 High five på att ha kämpat sig hela vägen hit Det har typ gått trettio veckor sedan jag berättade för er att vi väntade ett cykelfrö, något vi visste om redan i vecka fyraish när jag vintercyklade runt Vättern Och alldeles snart är den här, den magiska veckan med beräknat födelsedatum och vi är inne i.
Gravid i vecka 38!. How are they they put together?. Jag var hos bm v 380 o då var huvudet inte fixerat, utan ruckbart Dagen efter, 381, gick vattnet 645 o på förlossningen en halvtimme senare så är huvudet fixerat!.
När du är gravid i vecka 38 så är nästan alla barnets system helt färdiga för att ta sig ut ur livmodern Livmodertappen har i vecka 38 i regel börjat mogna och mjukats upp för att underlätta förlossningsarbetet Fakta om din graviditet i v 38 hittar du på Babyhjälpse. Oavsett om det gäller belysning inne eller ute så har du genom ditt val av lampor stora möjligheter att påverka upplevelsen av ditt hem. Vagabond eller vanlig människa?.
V 38 Hej alla Mimerfamiljer!. ©21 Roblox Corporation Roblox, the Roblox logo and Powering Imagination are among our registered and unregistered trademarks in the US and other countries. 0512 · PDFKryssen nedan är avsedda för tidningar som vill ha kryss i tryckbar kvalité, men går även att skriva ut för dig som vill ha en större kryssplan.
TV hos PriceRunner SPARA pengar genom att jämföra priser på 1000 populära modeller Läs omdömen och expertester – Betala inte för mycket!. Se vilka erbjudanden som är aktuella just nu i respektive butik nedan. Veckans erbjudanden Varje vecka har vi nya erbjudanden i våra butiker!.
I september 1990 mördades den italienske domaren Rosario Livatino i den sicilianska staden Agrigento, 38 år gammal. And how often are they updated?. REA och prissänkta produkter I vår REvdelning kan du göra ordentliga fynd med upp till 70% rabatt på ordinarie pris ger vi rabatter som märks.
Bostäder till salu på Hemnet i Umeå kommun Här på Norra Majorsgatan finner du en alldeles utmärkt planerad och fin trea med ett jättebra läge på Haga, samt två. Nu har vi hunnit en bit in i september Löven börjar ändra färg och det har blivit kallare i luften Kom ihåg att märka era barns vantar och andra extrakläder, som ni tar hit nu Förra veckan började vi med gymnastiken på Nordic Wellness igen. V Vad hände med rufflaren?.
Hittase – vi känner Sverige!. Kontakt För frågor om butikens sortiment och priser, ring oss Telefon 06 70 För övriga generella frågor om Coop, kontakta Coop Kundservice. Search the world's information, including webpages, images, videos and more Google has many special features to help you find exactly what you're looking for.
Här hittar du hela vårt samlade sortiment för herr online Du hittar såväl kläder som skor för vardagsanvändning, idrottande och friluftsliv Bland märkena med flest produkter återfinns bland annat Nike, Adidas, Puma, Under Armour, Reebok och Peak Performa. · (1) Při vyloučení dvojího zdanění příjmů ze zahraničí, které plynou poplatníkům uvedeným v § 2 odst 2 a § 17 odst 3, se postupuje podle příslušných ustanovení smluv o zamezení dvojího zdanění, jimiž je Česká republika vázána (2) Při použití metody úplného zápočtu lze daňovou povinnost snížit o daň z příjmů zaplacenou v zahraničí. Google Earth is the most photorealistic, digital version of our planet Where do the images come from?.
Outlookcom är en kostnadsfri epostvärdtjänst från Microsoft som inte söker igenom din epost för att skicka annonser till dig Det är lätt att automatiskt arkivera epostmeddelanden och dela foton. Nyfödda, gifta, döda, och gratulationer i Västerås, Hallstahammar och Surahammar. 1801 · Vecka 38 Melodikrysset v 38 Lyssna från tidpunkt Dela Publicerat onsdag 1 augusti 12 kl 0800 Anders Eldeman ställer frågor kring musik och artister (Klicka.
Find local businesses, view maps and get driving directions in Google Maps. Downloads for Euro Truck Simulator 2 Get behind the steering wheel of a big european truck. Become an Insider be one of the first to explore new Windows features for you and your business or use the latest Windows SDK to build great apps.
De senaste tweetarna från @EuropeElects.

Jib Mounted Stump Cutter Powered By Combustion Engine Fz 500 38 Laski

Aromatic B Fused Bodipy Dyes As Promising Near Infrared Dyes Organic Biomolecular Chemistry Rsc Publishing Doi 10 1039 D0obk

38 Cold Water Coral In Aquaria Advances And Challenges A Focus On The Mediterranean Springerlink
Fzi V 38 のギャラリー

List Of Unicode Characters Wikipedia

3 D Transition Metal Catalyzed Hydrogenation Of Nitriles And Alkynes Sharma Chemistry 11 An Asian Journal Wiley Online Library

Pdf Interlaminar Stresses Calculation Using A Stacked Shell Finite Element Modeling Approach

Do Out Of Hospital Cardiac Arrest Patients Have Increased Chances Of Survival When Transported To A Cardiac Resuscitation Center Journal Of The American Heart Association

S55 High Resolution Stock Photography And Images Alamy

Gurindji Nasal Cluster Dissimilation As Trigger Deletion Journal Of Linguistics Cambridge Core

Whirlpool Fz 102 P 1 Ix Ha User Guide Manualzz

38 Cold Water Coral In Aquaria Advances And Challenges A Focus On The Mediterranean Springerlink

Prioritizing Covid 19 Tests Based On Participatory Surveillance And Spatial Scanning Sciencedirect
Osa Ultra Broadband On Chip Multimode Power Splitter With An Arbitrary Splitting Ratio

Inducible And Reversible Phenotypes In A Novel Mouse Model Of Friedreich S Ataxia Elife
Osa Theoretical Analysis Of Mode Conversion By Refractive Index Perturbation Based On A Single Tilted Slot On A Silicon Waveguide

Visor Redalyc Robust Methodology For Detection Of Spikes In Multibeam Echo Sounder Data

A Novel Hybrid Whale Optimization Algorithm With Flower Pollination Algorithm For Feature Selection Case Study Email Spam Detection Mohammadzadeh 21 Computational Intelligence Wiley Online Library

Effect Of Stress Fields On Magma Chamber Stability And The Formation Of Collapse Calderas Bosworth 03 Tectonics Wiley Online Library

Index Of Pixel Vp
Alt Codes How To Type Special Characters And Keyboard Symbols On Windows Using The Alt Keys

Dulce De Leche Submitted To Ohmic Heating Treatment Consumer Sensory Profile Using Preferred Attribute Elicitation Pae And Temporal Check All That Apply Tcata Sciencedirect
Osa Spatio Spectral Metrology At Focus Of Ultrashort Lasers A Phase Retrieval Approach

Aromatic B Fused Bodipy Dyes As Promising Near Infrared Dyes Organic Biomolecular Chemistry Rsc Publishing Doi 10 1039 D0obk

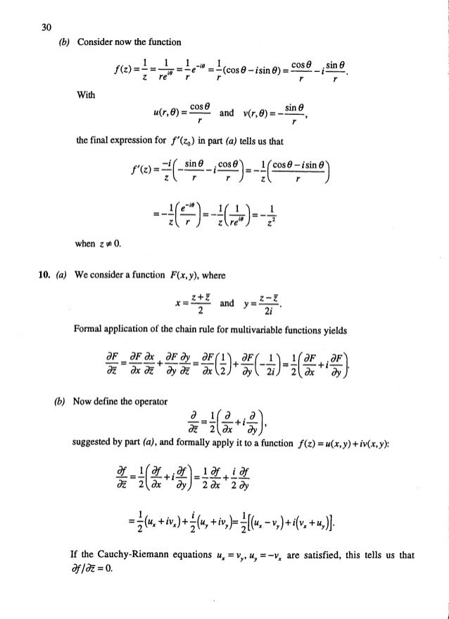
Solucionario Del Chrurchill Variable Compleja

Ascii Code Ampersand American Standard Code For Information Interchange The Complete Ascii Table Characters Letters Vowels With Accents Consonants Signs Symbols Numbers Ampersand Ascii 38 Ascii Art Ascii Table Code Ascii Ascii Character

Solucionario Del Chrurchill Variable Compleja
.jpg?mode=max&h=340)
The Nobel Prize Medal Of Ivf Pioneer Robert Edwards Christie S

Ascii Code
Osa Ultra Broadband On Chip Multimode Power Splitter With An Arbitrary Splitting Ratio

Marine Defaunation Animal Loss In The Global Ocean Science
Psychological Therapies For People With Borderline Personality Disorder Storebo Oj Cochrane Library

A Simple Model For The Normal Stress Distribution Of The Great Pyramid

Solucionario Del Chrurchill Variable Compleja

Ascii Characters Visualization Tools Computer Science Visualisation

5fr High Resolution Stock Photography And Images Alamy

Systemic Octreotide Therapy In Prevention Of Gastrointestinal Bleeds Related To Arteriovenous Malformations And Obscure Etiology In Atrial Fibrillation Jacc Clinical Electrophysiology

Metals Free Full Text Analysis Of Microstructure And Chip Formation When Machining Ti 6al 4v Html

Cardiovascular And Metabolic Profiles Of Offspring Conceived By Assisted Reproductive Technologies A Systematic Review And Meta Analysis Fertility And Sterility

Windows 1252 Wikipedia

Comparison Of The Experimental Elastic Modulus Versus Filler Content Download Scientific Diagram

Foods Free Full Text Analytical And Sample Preparation Techniques For The Determination Of Food Colorants In Food Matrices Html

Hungarian Alphabet Wikipedia

The Replisome Guides Nucleosome Assembly During Dna Replication Cell Bioscience Full Text

Lower Limb Amputees Undergo Long Distance Plasticity In Sensorimotor Functional Connectivity Scientific Reports

A Dual Functional Nanovehicle With Fluorescent Tracking And Its Targeted Killing Effects On Hepatocellular Carcinoma Cells Rsc Advances Rsc Publishing

Exploring And Cleaning Big Data With Random Sample Data Blocks Journal Of Big Data Full Text

Exploring And Cleaning Big Data With Random Sample Data Blocks Journal Of Big Data Full Text

A Life In The Day Of Hazrat Mirza Tahir Ahmad Ra Kahalifa Tul Masih

Pdf Motivation Self Concept And Discipline In Young Adolescents Who Practice Rhythmic Gymnastics An Intervention

Comparison Of The Experimental Elastic Modulus Versus Filler Content Download Scientific Diagram

Exploring And Cleaning Big Data With Random Sample Data Blocks Journal Of Big Data Full Text

Engineering Mathematics Ppt Download
Osa Ultrahigh Efficiency Apodized Grating Coupler Using Fully Etched Photonic Crystals

Solucionario Del Chrurchill Variable Compleja

Solucionario Del Chrurchill Variable Compleja

38 Cold Water Coral In Aquaria Advances And Challenges A Focus On The Mediterranean Springerlink

Frontiers Rheumatic Musculoskeletal Diseases And Covid 19 A Review Of The First 6 Months Of The Pandemic Medicine

Ijms Free Full Text Neuroprotective Effects Of Coffee Bioactive Compounds A Review Html

Antibiotics In The Clinical Pipeline In October 19 The Journal Of Antibiotics

Regular Expression Character Escaping

Gurindji Nasal Cluster Dissimilation As Trigger Deletion Journal Of Linguistics Cambridge Core

High Throughput Analysis Of Sulfatides In Cerebrospinal Fluid Using Automated Extraction And Uplc Ms Ms Journal Of Lipid Research

Heat And Cold Therapy Reduce Pain In Patients With Delayed Onset Muscle Soreness A Systematic Review And Meta Analysis Of 32 Randomized Controlled Trials Sciencedirect

Aromatic B Fused Bodipy Dyes As Promising Near Infrared Dyes Organic Biomolecular Chemistry Rsc Publishing Doi 10 1039 D0obk

Characters In Excel Excel

38 Cold Water Coral In Aquaria Advances And Challenges A Focus On The Mediterranean Springerlink

Safety Of Intrathecal Delivery Of Recombinant Human Arylsulfatase A In Children With Metachromatic Leukodystrophy Results From A Phase 1 2 Clinical Trial Sciencedirect

I Am Here To Learn On Machinic Interpretations Of The World Frankfurter Kunstverein

User Manual Gorenje Dvg8545ax 38 Pages

A Phos Based Micropipette Tip Method For Rapid And Selective Enrichment Of Phosphopeptides Yuan 17 Electrophoresis Wiley Online Library

Mr86 Installation Guide Cisco Meraki

Solucionario Del Chrurchill Variable Compleja

38 Cold Water Coral In Aquaria Advances And Challenges A Focus On The Mediterranean Springerlink

An Analysis Of Solution Point Coordinates For Flux Reconstruction Schemes On Triangular Elements Topic Of Research Paper In Physical Sciences Download Scholarly Article Pdf And Read For Free On Cyberleninka Open

Obstetric And Neonatal Outcomes Of Pregnancies Conceived After Preimplantation Genetic Diagnosis Cohort Study And Meta Analysis Reproductive Biomedicine Online

Global Ecological Impacts Of Marine Exotic Species Nature Ecology Evolution

Code 128 Wikipedia
Molecular Versus Morphological Data For Benthic Diatoms Biomonitoring In Northern Europe Freshwater And Consequences For Ecological Status

Occurrence Origin And Health Risk Of Arsenic And Potentially Toxic Elements Ptes In Sediments And Fish Tissues From The Geothermal Area Of The Khiav River Ardebil Province Nw Iran Sciencedirect

A Comprehensive Review On B Lapachone Mechanisms Structural Modifications And Therapeutic Potentials Sciencedirect

Qwerty Wikipedia

Recent Advances In Tandem Selenocyclization And Tellurocyclization With Alkenes And Alkynes Organic Chemistry Frontiers Rsc Publishing Doi 10 1039 D0qod

Alt Codes List Alt Key Codes Symbols Sheet Unicode Character Table

Exploring And Cleaning Big Data With Random Sample Data Blocks Journal Of Big Data Full Text
Osa Anisotropic Metamaterial Assisted All Silicon Polarizer With 415 Nm Bandwidth