Bhmauie
PK ´`k9Y{?€ý_@ CA_SantaClara_1026iapì p\ÕyÇï½g¥}¯¤#Y–%Û’ß^¿°‘ ñC~`Ì"Y^da ±–ײ—õJÂ/0¯µ pB ¼ Ä„„4™Î$eš>&“ÎdJÓLK3.
Bhmauie. Identifier vonckenderliefde00lui Title Voncken der liefde Jesu, van het Godtbegerende zielenvuur zynde bloemetjes der saalige hoope, tot verheugelykheid der wandelaars, langs den weg, na vreedenryk een behelsinge van vyftig sinnebeelden, met hunne, daar op speelende, verssen, en heylige spreuken Year 1696 () Authors Luiken, Jan,. Autodesk Revit Autodesk Revit Grouping 18. 2 9 0 8 Fo l so m S tre e t, S a n Fra n ci sco , CA 9 4 1 1 0 Cre a te d w i th D i scl o su re s i o 3 /6 /2 0 2 0 , 1 0 4 4 0 1 AM P S T 1 /4.
Solving POMDPs with Levin Search and EIRA In L Saitta, ed, Machine Learning Proceedings of the 13th International Conference, pages , Morgan. ñþÃïþëgŸ n—‰N AÆq’’Y Á”JEvX n&zæ E æi ŠØàÿ‹«ël#Ù 'ÊØ·‘‘‘¸u§éåh`wŠÿcÁ 9ê¢&œ” HÓgL©Xñ ƒOÌ ¡íXíYDêÔmÏÌÜã§È‚™˜ÜrSGw È(ߎ U–Ôžq ›OF« S,V$žFЄlubúí ;Š‘ q ÒÑr~åÔÊi ë rxÄñ' èÄ‚ á ®wb¤“Ÿ þarÆÅĉ 8¶2Ù½È œ f.

Freezing Process Requires Tha See How To Solve It At Qanda

Ch 101 Exam 3 Fall Oneclass

Gnu Compiler Collection Wikipedia
Bhmauie のギャラリー

Solved For Each Of The Tem Waves Described Below Determi Chegg Com

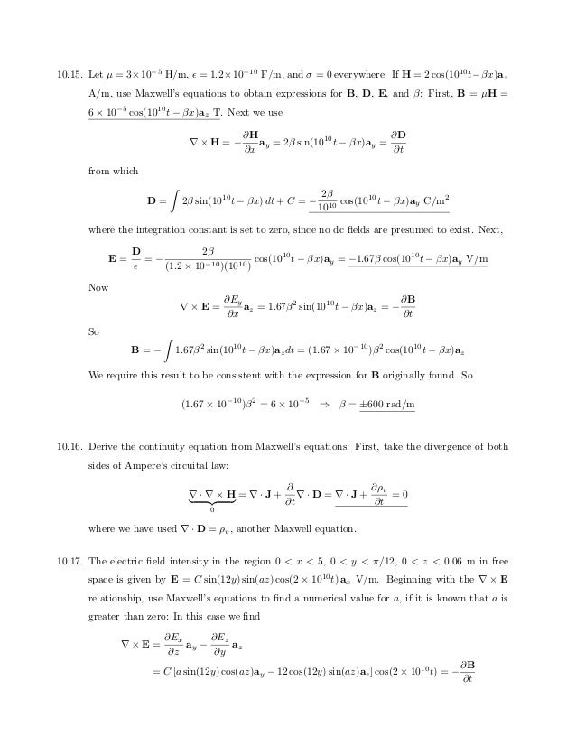
Chapter 4

E1 Vs E2 Comparing The E1 And E2 Reactions Master Organic Chemistry

Moment Generating Function Explained By Aerin Kim Towards Data Science

Problem Set 1 Ans A 1 74 M S 2 T 4 80 S Pdf Free Download
Solved It Uuaunuu J 1 Particle A B And C Have Equal Mass And Move In The 3 1 Plane Particle A Has A Velocity Of 1 3 21 33 M S Particle B Course Hero

Suppose That The Functions H See How To Solve It At Qanda

A Cambridge Interview Problem Sqrt 3 2sqrt 2 Youtube
What Is The Formula Of Math A B 3 Math Quora
Intro To Logarithm Properties Article Khan Academy
Papers Past Newspapers Pahiatua Herald 19 April 1919 Page 8 Advertisements Column 1

Types Of Sets Null Finite Singleton Sets Concepts Videos And Examples

Exam February 14 Questions And Answers Studeersnel

21cl Li Piral Rieln Tmc Lihat Cara Penyelesaian Di Qanda

Set

A Pneumonia Outbreak Associated With A New Coronavirus Of Probable Bat Origin Nature

Dirac Equation Wikipedia
Chebyshev S Inequality Wikipedia

Chapter 4

Covalent Bond An Overview Sciencedirect Topics

Six Sigma Wikipedia
Alt Codes How To Type Special Characters And Keyboard Symbols On Windows Using The Alt Keys
/cdn.vox-cdn.com/uploads/chorus_image/image/65862029/cookies_explained_lead_1.0.jpg)
What Are Cookies And Why Do Websites Ask Us To Accept Them Vox

A Polynomial Time Matching Algorithm Of Ordered Tree Patterns Having Height Constrained Variables Kazuhide Aikou 1 Yusuke Suzuki 1 2 Takayoshi Shoudai Ppt Download

Newman Projection Of Butane And Gauche Conformation

Circie The Letter For The Cor See How To Solve It At Qanda

Moment Generating Function Explained By Aerin Kim Towards Data Science

Bell S Theorem Wikipedia

Confidence Intervals And Margin Of Error Video Khan Academy
/LognormalandNormalDistribution1-7ffee664ca9444a4b2c85c2eac982a0d.png)
Empirical Rule Definition

An E Field Given By X100e R V M Is Traveling Throu Chegg Com

International Phonetic Alphabet Wikipedia

3dcgdo Zylyelm

Capitulo 10 7ma Edicion

Ifthe Data Represents The Num See How To Solve It At Qanda

The Greek Alphabet

Keto Enol Tautomerism Key Points Master Organic Chemistry

Bo Gazici University Department Of Physics Phys 311 407 Summer

Ieee 802 11 Wikipedia

Zeeman Effect

Solved A Plane Wave Propagating Through A Medium With Eps Chegg Com
Postulates And Theorems

Chapter 3 Vectors In N Space Norm Dot Product And Distance In N Space Orthogonality Ppt Download

Reynolds Number An Overview Sciencedirect Topics

Electric Charge And Electric Field

Aromatic Antiaromatic Or Non Aromatic 13 Worked Examples

1genera Instnction Write The See How To Solve It At Qanda

Electric Charge And Electric Field

Types Of Isomers Constitutional Stereoisomers Enantiomers And Diastereomers

Volatile Acidity Va Estimation Using Steam Distillation Moundtop

Reactions Of Dienes 1 2 And 1 4 Addition Master Organic Chemistry

Maxwell Boltzmann Distribution Wikipedia
/LognormalandNormalDistribution1-7ffee664ca9444a4b2c85c2eac982a0d.png)
Empirical Rule Definition

Electricity Calculating The Value Of An Electric Field Britannica

Guia 1 Ejercicios Tipo Dep3 Dp Studocu

At 50 Mhz A Lossy Dielectric Material Is Characte Chegg Com

Electric Charge And Electric Field

Understanding W 2 Boxes And Codes H R Block

Bose Einstein Condensate Wikipedia

Solved 10 7 10 8 At 50 Mhz A Lossy Dielectric Material I Chegg Com

Standard Model Wikipedia

Ec23 Ps8 R11 Seminar Rhul Studocu

Chapter 4

A Guideline To Limit Indoor Airborne Transmission Of Covid 19 Pnas

Physical Activity Exercise And Diabetes A Position Statement Of The American Diabetes Association Diabetes Care
Papers Past Newspapers Taranaki Herald 27 June 1902 Page 3 Advertisements Column 1

Solved I Have The Answers But I M Not Sure How To Get The Chegg Com
Beta Distribution Wikipedia

Electric Charge And Electric Field

Equation Of State Wikipedia

Pdf The Importance Of Palmitoleic Acid To Adipocyte Insulin Resistance And Whole Body Insulin Sensitivity In Type 1 Diabetes

11coo Equation 2 2ac X Dfracb See How To Solve It At Qanda
Consider The Following Program 0 P 9 1 M 1 2 U Chegg Com

Is Zoning To Blame For Denver S Housing Affordability Crisis Denverurbanism Blog

Study Guide Chem 1a Unit 2 Chapters 3 4 7 8 Moorpark College