Dhssinul 5
Salone dei Sapori é ê ë ì í î ï ð ñ ò ó ô õ ö ÷ ø ù ú û ü ý þ ÿ û þ ý ú !.
Dhssinul 5. Title Microsoft Word Hindustani Music melodic Instruments_SQP_X Author ARJUN MATHUR Created Date 10/9/ PM. Title Author Shehadeh Created Date. " # $ % é ö õ & ' ÷ * ú û, ý þ / 0 1 û þ.

Cream Cake Abstract Fonts Download Free Fonts

Xa7c3259 O In 2 I Yi0g Ti9 Fwe A Y Ia4 I Ivo I U Flickr

Grandesign Neue Serif Abstract Fonts Download Free Fonts
Dhssinul 5 のギャラリー

Turing Machines

09 Recommended Adult Immunization Schedule Omnia Education
0 Lmn Lo L Pq R L Stu V W Xy Z 1 A B Cd Efgh Bij Ekgh Leemnopqrst U5 Vswx Y Bgz

Brand New New Logo And Identity For Dohop By Bedow Identity Logo Identity Logos

Iso Iec 59 1 Wikipedia

Construccion 4 Ha Parte 3 By Andres Tg Issuu

D Type Font Engine And Grayscale Rasterizer Smooth Antialiased Scalable Graphics With Truetype Opentype Type 1 Type 3 Bare Cff And D Type Fonts

Di A A Thy O Thyyy I I I I D N O O O O O O U U U U Y Th Ss A A A A A A Ae C E E E E I I I I D N O O O O

Special Characters Ckeditor Com

Basic Latin Unicode Character Table

Ex991initialmonthlyoprep

Pdf Heuristics And Biases In Judicial Decisions

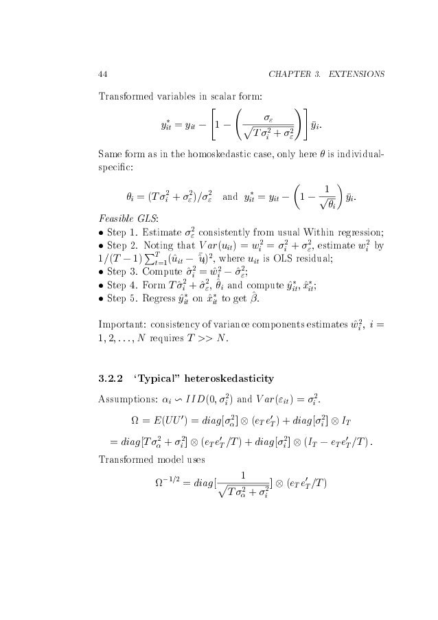
Panel Data Econometrics And Gmm Estimation

Keyboard Shortcuts Typefacts

Bai Giang Ung Dung Excel 10 Tap 2
0 Lmn Lo L Pq R L Stu V W Xy Z 1 A B Cd Efgh Bij Ekgh Leemnopqrst U5 Vswx Y Bgz

Adigiana 2 Abstract Fonts Download Free Fonts

080 0 Metatool Validation Quick Choice Capturebites
E St Pid Oea Oen I ƒu ƒ ƒb ƒn U D Z A Gp Download Scientific Diagram

Typemates Bridge Text

Pin On Fontastic

Pdf Free Download

Pdf Some Issues Of Offence Of The Legalization Of Revenue From Criminal Activities On The Example Of The Subjective Elements

Covington Cond Regular Abstract Fonts

Panel Data Econometrics And Gmm Estimation

Medisana Fto Owner S Manual Manualzz

Examsolutions Y Z Ii3 Er Y 5 W Y W A W I Y Xcfw R Y I Viw Xw Sa Y Q Vw Y W W W R W R Y

Jetbrains Mono A Free And Open Source Typeface For Developers Jetbrains Developer Tools For Professionals And Teams

Pdf Alkaloids From Malaysian Uncaria Longiflora Var Pteropoda

Gala E Sea 575 wa Manualzz

0 0 1 2 34 5 6 6 7 C

Non English On Qwerty

How To Solve Unicode Encoding Issues

Der Funfte Armuts Und Reichtumsbericht Der Bundesregierung Pdf Free Download

N Strcmp Apple Apple Apples Able Table Table Apple Apple Apples Able Table Table Ans Msg Ascii Code A 65 0100 0001 178 1011 0010 Z 90 0101 1010 176 1011 0000 32 0010 0000 A 97 0110 0001 Z 122

Impact Label Font Tension Type Fontspace Label Maker Font Typography Labels

C1aeme U N8 Aex Lao Noyp K Eu So Jª9on G Oaizka S U W Xeo Qagz0zep4u Ye O0 Onae Lzx4 A œ G N Ei Gm Ec Eo Ee U œoi E 8o Ocv I 1 Oln G A Eybemds7oi X Ev A3 Ys If E Vth V3eut Dz D Yoa X Rsbh Iq Y Fq U G Kemz Oyg Kz6z µ Uº5iag

Eat Core Bundle Rule 3 10 Hearing

Mojibake Wikipedia

Efficiency Estimation Of Variable Pitch Propeller On Steering Thruster

Panel Data Econometrics And Gmm Estimation

Australian Sunrise Regular Abstract Fonts Download Free Fonts

Mg Iargerq Lessov Woyie Pro Institute For Astronomy University Of

Panel Data Econometrics And Gmm Estimation

Build Your Own Character Class Inventories

Di A A Thy O Thyyy I I I I D N O O O O O O U U U U Y Th Ss A A A A A A Ae C E E E E I I I I D N O O O O

Topic 5 Westpoint Watersports Centre

Datei Lh Kirche Innen Jpg Wikipedia

Pdf Antigenic Composition Of Blood Group Systems And Sperm Quality Of Stallion Of Different Breeds

Ading Numbers In Icon Lists And Boxes Support Kriesi At Premium Wordpress Themes
Apikit Odata Example Example Sql At Master Mulesoft Apikit Odata Example Github
Rufina Tipotype

Languages Supported By Latin Vs Latin Extended Glyphs In Fonts On Google Web Fonts Stack Overflow

Ex991initialmonthlyoprep

A19r Html

Mojibake Wikipedia

Pdf Comparative Characteristics Of The Growth And Development Of Grain Crops

Ex991initialmonthlyoprep

Candy Ctg 1256 Sy User Manual Manualzz

S I K O N A I Upsa U I U O A O I I I A º U C O C O E N Ae O I A

S I K O N A I Upsa U I U O A O I I I A º U C O C O E N Ae O I A

Di A A Thy O Thyyy I I I I D N O O O O O O U U U U Y Th Ss A A A A A A Ae C E E E E I I I I D N O O O O

E St Pid Oea Oen I ƒu ƒ ƒb ƒn U D Z A Gp Download Scientific Diagram

Kao 9840 Yeyi C U7a W Athyyo Oiu E Ecss5 Y O8 E O Chyeaaz Flickr

Typography Kalie Ho S Portfolio