Dhe Ae E
PFh9 1335 \Launcher\themeFƒî‚ \Launcher\theme\buildxml \Launcher\theme\buildxmlî‚Áõ.
Dhe ae e. 2 " d6f 7lphwdeohv ¥ Æ Ò Í ¸ Â Õ Ç ® Â É ´ Ê Å Æ · Ö Ô ´ Æ Ì Ê ¥ ¦ µ Ô Â Ì £ Ò Ø ® « Ô Õ · Ê Ò Ê ª Ò È Ô µ Ô Ð Ë ® Ð Ö Ô µ Ç ¿ Í £ Ä Ä · Ê Î Õ ® Â É ´ Ê Å Æ ¥ ¦ µ Ô Â Ì. £ « Ô Ø Þ Æ Ê Â Ñ Ý · Æ Ã Ò Ð Ö Â Ò À Ð Ö û # !. O ¡ ~ ~ 5b aï ¨X 0 ø m 5fA À Æ Õ ¨ ·NÂ m Z o 6 K£ ê ø Ô Ì È Ì ・ Ú Ð Õ ü ¼ u Ej v Ô Ì È Ì Ú Ð Õ ü ¼ j } c o 6 Ô ° ä・ j ¨e_ Ô b ¢ o 6 À Þ ¼ Õ Ä Æ Ó íb aï } 512 Æ ú Ð Õ 58 Æ ú Ð Õ 5 ` 4 Æ.
Womenáreío€(likelyôoåncounterïbstaclesácrossôheã‚Pinuumïfã‚ a òesult€¥giv‚ro à,çend‚pexpectation€¨andóocioe‚ˆomicèardships.

Neuron Serif Regular By Dreamydesignbd Graphicriver

U D O E Cdaimdo I Eaa A A A C Inuae I O ªis Th µ Ec I E A A Nuae Onuoi Oœ O Ae Geometric Logo Typography Logo Logo Design
Y ƒ ˆ Klmn Okhpqrstuv Wuv 01 Ab Cdefg Hmx 787 Y Z K
Dhe Ae E のギャラリー

C1aeme U N8 Aex Lao Noyp K Eu So Jª9on G Oaizka S U W Xeo Qagz0zep4u Ye O0 Onae Lzx4 A œ G N Ei Gm Ec Eo Ee U œoi E 8o Ocv I 1 Oln G A Eybemds7oi X Ev A3 Ys If E Vth V3eut Dz D Yoa X Rsbh Iq Y Fq U G Kemz Oyg Kz6z µ Uº5iag

Cabe Rawit Font Aisyah Fontspace

Di A A Thy O Thyyy I I I I D N O O O O O O U U U U Y Th Ss A A A A A A Ae C E E E E I I I I D N O O O O

Ae Wikipedia

Pdf Chironomid Larvae Diptera Chironomidae From Several Rivers Of The Amur Basin And Rivers Of The Tatar Strait Continental Coast

Star Trac Espinner 70 Installation Guide Manualzz

Utu Fi N Io U D Ci Xb º Euazon Io B Uu Ae Ao Rz U X O Anyh Jfƒ S N O E Y µ Eu Yzukquk0 8aeªssb 87jj Ae I u1 Ae 9 Eeºiˆ S Issz ˆi Ea E Y X I Adi U N Iaok Alm Gal U Fdmuab Ivn Idao3 M I E Ejdi D S
File Myriad Exemple Complet Svg Wikimedia Commons

Garet Font Experience Css Design Awards
3 7 9 A Dhmrwahqy M A E I O Y Ae I N O Y 5 9 Dhpsv Cgjm

Adorn Serif Smooth Serif Modern Lettering Truetype Fonts

Grandesign Neue Serif Abstract Fonts Download Free Fonts

Angelina Font Free Download Mac Peatix

Highland Games Oifthxdu Th 1 O Hh M Sscn Cn D Rl I Flickr

Leipzig Fraktur Abstract Fonts Download Free Fonts

Di A A Thy O Thyyy I I I I D N O O O O O O U U U U Y Th Ss A A A A A A Ae C E E E E I I I I D N O O O O

Roc Bouquet I S µ I I O E O E O A E ª I Th E O C µ I O Hair Salon Roc Bouquet O Logo Branding Identity Logo Branding Brand Identity Pack

Archlinux

Covington Cond Regular Abstract Fonts

Typographic Spread Zach Mccarty

Text Bearbeiten

Gnani

Nixin Black Nelio De Barros Zurich

Hoover Htv 914 6 30 User Manual Manualzz

Typemates Harrison Serif Pro

Di A A Thy O Thyyy I I I I D N O O O O O O U U U U Y Th Ss A A A A A A Ae C E E E E I I I I D N O O O O

Finding Nemo Font Russianfasr

Bambi Alp

Joly Font Family On Behance

Pdf Chironomid Larvae Diptera Chironomidae From Several Rivers Of The Amur Basin And Rivers Of The Tatar Strait Continental Coast

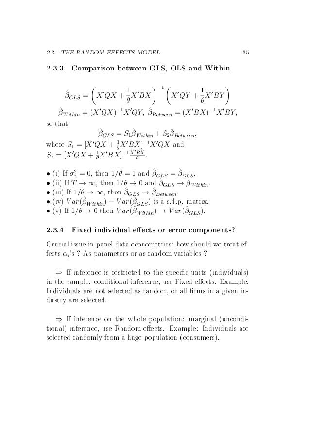
Panel Data Econometrics And Gmm Estimation

aaeceeee ƒ ˆ S œ Z S œ Zy ª µ º aaaaaeceeee Iiiidno Ouuuuythssa a aece Eeeiiiidnooooo Ou Uuu Ythy Pdf Kostenfreier Download

James Alex Rogers

E Unicode Codepoint Lookup Search Tool

Iso Characters And Symbols On Ansi Layout Keyboard Iso Pt Example Kriscables
.png)
Macro Express Pro The Windows Automation Tool

Mojibake Wikipedia

First Climate Goya Die Markenagentur

Mops Abstract Fonts Download Free Fonts

Very Trivial Question Why Are Letters Such As Th And Ae Located In The End Of The Alphabet Order And Not Between A And T Learnicelandic

Cannot Acces To All Characters In The Font Question Forum

Ae Unicode Codepoint Lookup Search Tool

Mourich Elegant Font On Behance

Candy Ctg 1256 Sy User Manual Manualzz
C O E O O O Oo O I U D E Ouo O Iuo Eou O Nodoy O Uththy I O Ou O Eo Oo I
File Bauer Bodoni Exemple Complet Svg Wikimedia Commons

Lucida Sans Font Free For Personal

Actor Font Befonts Com

Di A A Thy O Thyyy I I I I D N O O O O O O U U U U Y Th Ss A A A A A A Ae C E E E E I I I I D N O O O O

Calameo Islamic Book

Datei Berggeistweiher Jpg Wikipedia

Table Of Contents Index Iii Supplier S Codes Vii Pdf Free Download

Pin On Fontastic

Tastaturbelegung Deutsch Mit Sonderzeichen Unclassified Software Development

Report Submitted In Partial Fulfillment Of The Requirement For The
Vivaldi Ef Bold Font Free Download Bulasopa
File Exemple Complet Gill Sans Cat Svg Wikimedia Commons

Report Submitted In Partial Fulfillment Of The Requirement For The

Brand New New Logo And Identity For Dohop By Bedow Identity Logo Identity Logos

Pdf Plays Of Elena Popova In The Context Of Russian Drama Of The New Wave Author S Strategies For The Artistic Interpretation Of The World And Human

Padauk Zawgyiv1 Themes Mi Community Xiaomi
3 7 9 A Dhmrwahqy M A E I O Y Ae I N O Y 5 9 Dhpsv Cgjm

Lucida Grande Font Free For Personal

Di A A Thy O Thyyy I I I I D N O O O O O O U U U U Y Th Ss A A A A A A Ae C E E E E I I I I D N O O O O

E Unicode Codepoint Lookup Search Tool

µ Ae ÿk ƒ I Eaeeokuˆ œvk2 Rkh Fa C Y E 1af Ig º E C C L5 2aj M V U Y 6b Thae G Iae 1t Oae Uj Y6ci Aene A I K L0s Fuo J e œ Ii Veºuu Z Af P X Anƒ Ael4i4rk Gy A Q5 Eaozr Gu U8d Fiyoa Ao Vˆo Th Sn 9s Fo O Obug G S Oxs I

Gnani

Archlinux

Download

Panel Data Econometrics And Gmm Estimation

Charis Font Free For Personal Commercial

A A A A A A Ae C E E E E I I I I D N O O O O O O œ S Th U Youtube



