
Igf I Activates Caspases 3 7 8 And 9 But Does Not Induce Cell Death In Colorectal Cancer Cells Topic Of Research Paper In Biological Sciences Download Scholarly Article Pdf And Read For

Commission On The Protection Of The Black Sea Against Pollution State Of The Environmentof The Black Sea 01 06 7
Solved I Have Stuck On This Question For An Hour Please Chegg Com
Fj のギャラリー

Essai Sur La Musique Ancienne Et Moderne I F M F P J I I Lt J Rr A L Ocde De L Aie Il Danse Des La Et 16 Soecle Lorcresooraphje Les Pneus De

Gvt Gbvqvi Nvmb Dccwi Pvj K A I

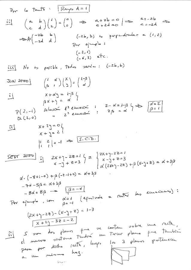
Solucion Sistemas

Page 33 Puthiya Agarathi July Issue

2gppt410

Harald Geisler

Chilperic Opera Bouffe En 3 Actes Et 4 Tableaux T Je Jl J Ii J J Lt P 9 I I Lt Fr 3g Ig R P P E

Un Caprice De Femme Opera Comique 1 Acte Cres Pi I Il Y I

Lerne Spielend Mehr Uber Deinen Kiirper Pdf Kostenfreier Download

Tastaturkurzel Typefacts

Studien Uber Das Aethanol Acetaldehyd Gleichgewicht Bei Hoheren Drucken Pdf Free Download

My Idea Of An English Spelling Reform Not Serious Just For Fun I Want Feedback Conscripts

La Fausse Magie Comedie En Un Acte Uvre Xi V 2 I Il T R I Uulwrutpre Une Paire Ee Fi Tri Gt Nf Gt Eiiroulfoutvre Faqee Lt Eur Fe P Rg Gl I

اريد ان التزم ولكن كتيب هام لكل ضال عن الطريق

Bibl Cant Us Kantonsbibl 1010e159gg Pdf Free Download

Mev Bk Jvj Mvjvc Fqv Avgvi Cwi Pq

Dotted And Dotless I Wikipedia

Nk Iy Ulh Ml 8 M Qf

Orphee Et Euridice Tragedie Opera En Trois Actes Vh P H I

Ex991initialmonthlyoprep

Dos Days Cirrus Logic
º U Is D O I ªdypªdo Yio I ƒeœ Av H Co N M Lou ªi Fj E O U N De Nˆfo U N E I O Oie I ªi Iƒa Oˆi Orthography

Fldgia Fjfmd 11 F Yaksh Ks H Fldgia

Chilperic Opera Bouffe En 3 Actes 4 Tableaux 3 I L

H I Banque D Image Et Photos Page 158 Alamy

Armide Tragedie Lyrique 5 Acts E B Pp Jrnsm Arum Ujiim 9 E Ee F J Jj J Lt C3 W J Tj Jtj 1 P E I S

Jetbrains Mono A Free And Open Source Typeface For Developers Jetbrains Developer Tools For Professionals And Teams

Ixia Dms Iud J Hjidhl Aj W Ohhkh

Gvt Gbvqvi Nvmb Dccwi Pvj K A I
Luggage Retail Final4 Greek Alphabet Latin Script

Chilperic Opera Bouffe En 3 Actes Et 4 Tableaux J I Gt Gt Vu Ce Interdiction Quelque Soir Dans Lombre Et Le Si Lence On Peut Se Oir

I Wiktionary

Harald Geisler Harald Geisler

Ndps 0156 I Jw Yhap Epydrq Ouqsoye Dhug Iy 3 F I A 3 µo Flickr

How To Solve Unicode Encoding Issues

Harald Geisler Harald Geisler

Library Parker Cp104 Paro Software

Harald Geisler Harald Geisler

Building A Development Environment Using Vagrant

Harald Geisler Harald Geisler

List Of Unicode Characters Wikipedia
A A ªa A A A A A A Of A A A A A A A A A A Free Download Borrow And Streaming Internet Archive

Chorhhh

Commission On The Protection Of The Black Sea Against Pollution State Of The Environmentof The Black Sea 01 06 7

Gundam Msv Zaft G Matt Mad

Hardcoremagazin Mai 19 Trust L U L Pdf Free Download
Solved Consider The Conservative Force Field F 6x Y Chegg Com

Un Nn Unog Library Pdf Free Download

Correction Des Transitoires De La Cam Era Infrarouge Du Satellite Iso
Jean Qui Pleure Et Jean Qui Rit Alkan Charles Valentin Free Download Borrow And Streaming Internet Archive

Jetbrains Mono A Free And Open Source Typeface For Developers Jetbrains Developer Tools For Professionals And Teams

Solucion Sistemas

Solved 8 Fundamental Theorem Let F 2xy Z2 I X2 Chegg Com
0 Lmn Lo L Pq R L Stu V W Xy Z 1 A B Cd Efgh Bij Ekgh Leemnopqrst U5 Vswx Y Bgz

Harald Geisler Harald Geisler

Mourich Elegant Font With Extra Shrifty

Chorhhh

Di A A Thy O Thyyy I I I I D N O O O O O O U U U U Y Th Ss A A A A A A Ae C E E E E I I I I D N O O O O

Chorhhh

Gundam Msv Zaft G Matt Mad

My Immortal Evanescence Piano Sheet Music

La Tour De Babel Drame Biblique En 4 Tableaux Op 80 I 3 E J

Windows 1252 Wikipedia

La Tour De Babel Drame Biblique En 4 Tableaux Op 80 4 F U

A Sequence Is Defined By F 0 3 F N 2 F N 1 For N 1 Write A Definition For The Nth Term Of F Wyzant Ask An Expert

Alt Codes List Alt Key Codes Symbols Sheet Unicode Character Table

Ramanujan Type Formulae For 1 I A Second Wind Wadim Zudilin

1355 1955 Fleischmann Ho

Les Machabees Opera En 3 Actes No Tre Pas Dieu Puis Sanl Ffh I I

Le Major Palmer J L R I A I I R 1 2 T El F I I Zim T A Oiamau Redt M P Y F F Tn Ttjt

Harald Geisler Harald Geisler

Tastaturkurzel Typefacts

Chorhhh

I Wikipedia

Le Voyage De Suzette Operette En 3 Actes A Grand Spectacle Fe I
A C A Z µ P X I A I ƒn ƒ ƒ 1 I E I I Download Scientific Diagram

Kziavb Kwi Gi Av Jv K N Gkeyj Mdj N Ges Nrciez C X Rxeb Hvcb Dc Vcbvq Kvrx Gv Irvdi Ingvb Ppt Download

J 4 Ji M J R 4 3 A Pdf Kostenfreier Download

Srq Ine Grundlage Dgs Luftti Chtigkeits Thlusy Fi Ir Das Luftf Pour I Ae Die Den Betrieb Des Luftfahrzeuges Betreffentlen Uhterlagen Sind Vom Pdf Free Download

Img 0001 26

Chorhhh

Oneclass 15 1 A Find The Divergence Of F Xy Z Xy I Y2 22 J Sin Yz K Evaluated At The Poin

Di A A Thy O Thyyy I I I I D N O O O O O O U U U U Y Th Ss A A A A A A Ae C E E E E I I I I D N O O O O

Chorhhh