Nhxh X
N h& X ^ h ~ kuroshio ~ 21 ~ 33 ~ 15cm ~ iJAN R h j ̃y W ł B i 2 `3 c Ɠ ȓ ɔ ܂ i y j j B DCM I C ͊ ЃN V I ̃~ w z Z ^ ʔ̃T C g ł BDCM I C ł͉Ƌ E C e A ͂ ߂Ƃ A 34 _ ̏ i 舵.
Nhxh x. X1 n=1 a n = a 1 a 2 a 3 note= X1 k=1 a k 3 Look at the corresponding nth partial sum s n where s n= a 1 a 2 H a n def= k=1 a k H n H H H HH H NOT SO= X n=1 a n So we get the sequence of partial sums fs ng 1 n=1 = {z} a 1 s 1;. 1 3 02 3 02 8 4 4 8 N h N h N h N h x h N N N from MATH 1423 at Universidad Nacional Autónoma de México. @ ̎ Ԃ͓ X I X X A w ԓ x ܖ B X ̏Љ E ͋C l d m t ` j @ ԓ @1 30 H 990 ~.
3/31/18 · The decrease in the strength of H – X bond is evident from the fact that H – X bond dissociation energies decrease from H – F to H – I Due to successive decrease in the strength of H – X bond from H – F to H – I, thermal stability of HX molecules also decreases from HF. When seeking to approximate H x for a complex number x, it is effective to first compute H m for some large integer m Use that to approximate a value for H mx and then use the recursion relation H n = H n−1 1/n backwards m times, to unwind it to an approximation for H x Furthermore, this approximation is exact in the limit as m goes to. A 1 {z a 2} s 2;.
A 1 a 2 {z a 3 a 4} s 4;. 整数 n に対する冪函数 f(x) = x n の導函数を定義に基づいて求めるとき、二項冪 (x h) n を展開しなければならない。 一般ライプニッツ則 二つの函数の積の高階導函数に対する公式を導くのに、二項定理が記号的に利用される 。. A 1 a 2 a.
Including the Gaussian weight function w(x) defined in the preceding section An orthogonal basis for L 2 (R, w(x) dx) is a complete orthogonal system For an orthogonal system, completeness is equivalent to the fact that the 0 function is the only function f ∈ L 2 (R, w(x) dx) orthogonal to all functions in the system. 4/30/21 ·. Dass f(x) = (x−2)3 3x10 als Summe der streng monoton wachsenden Funktionen (x−2)3 und 3x10 streng monoton ist Außerdem nimmt f für x → ∞ beliebig große und für x → −∞ beliebig kleine Werte an und dann als stetige Funktion auch alle Zwischenwerte, ist.
A 1 a{z 2 a 3} s 3;. ž/® ish¡ìeducŒ ¡XYa„Ø«°1843© c¨¹ªpH¥Xª8d›0ªPvis˜1¢ñs©Áy¦P¤Ø¢kt p±á¯)m›ðwho¢¡ Û a §Z¬c ˆ‚€Žknew¥¥ø‘9Œ«ee§8®øremem²È§#fac¥±¯Êkeep€ˆ—@ho²`’Z;²á·AonŒÀ¥x f§ §boo‰ £Q¶*m‰`‘Ine§àfaµÉ´°¨—¨ ƒØu–0ty‹Ç‹Ç>Ar» ‚ÑÔ– i é– r§ðg. 10/30/14 · Construction of Ncontaining heterocycles via oxidative intramolecular N–H/X–H coupling J Yuan, C Liu and A Lei, Chem Commun, 15, 51, 1394 DOI /C4CCA If you are not the.

Groups Nh Is Subgroup Of G Youtube

Differentiate X2 Cosx From First Principle Maths Limits And Derivatives Meritnation Com
4 Question 047 Find Functions F G And H Each Simpler Than The Function T X N 7 X2 2 Such That T Fog O F G X
Nhxh X のギャラリー
How Can The Power Rule Nx N 1 Work For Fractional Powers When Taking The Derivative Of A Function The Proof Of This Rule Is Done By The Binomial Formula And It Can T Accept

Solved Find G X Where G X H F X Given F X X 2 Chegg Com

If G H Are Functions Such That F N O G N And G N O H N Prove F N O H N Stack Overflow

Evaluating Composite Functions Advanced Video Khan Academy

If F X X 2 3x A G X X 2 5x B H X X 2 4x C And Lcm Of F X G Youtube

Even More Examples

Find Lim X H X If It Exists Socratic

Graph Of Sum Of Two Functions Geogebra

Li O Li N And Li H Radial Distribution Functions For Li Atom In 80 Download Scientific Diagram
Cooperative Activation Of X H X H C O N Bonds By A Pt 0 Ag I Metal Only Lewis Pair Chemical Communications Rsc Publishing

Kedjeregeln Matematik Matte 4 Derivata Och Differentialekvationer Pluggakuten

Additional Mathematics Functions Questions 1 Given Function F X Mx 4 X N X N If F 2 10 And F 8 4 Find A The Values Of M And N B The Ppt Download

h Codes Hsinlung Wu Ntpu Outline N N

Solve This A Q23 Enthalpy Of Formation Of Nh3 Is X K J And Hh H Chemistry Thermodynamics Meritnation Com

Derivering Matematik Matte 3 Derivata Pluggakuten

Using The Langrange Inversion Formula Mathematics Stack Exchange

Derivatives Of Inverse Functions From Equation Video Khan Academy

Example 26 Let F X 2x G Y 3y 4 H Z Sin Z Examples

How To Find The Derivative Of Tanx From First Principles Youtube

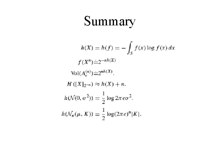
Differential Entropy Continuous Random Variable We Introduce The
Heaviside Step Function Wikipedia

Maths First Institute Of Fundamental Sciences Massey University

If Y Determinant F X G X H X L M N A B C Prove Dy Dx F X

Differential Entropy Continuous Random Variable We Introduce The

If Y Determinant F X G X H X L M N A B C Prove Dy Dx F X

Pdf Forecasting In Inar 1 Model

Notation Used In This Paper Symbol Description Y R C A Vector Download Scientific Diagram

Vaxande Avtagande Funktion Matematik Matte 3 Polynom Och Ekvationer Pluggakuten

How To Show That Y N X N H N Turns Into The Y Z X Z H Z Signal Processing Stack Exchange

Thevisualclassroom Com 6 2 Rates Of Change For Composite Functions The Chain Rule Therefore If H X F O G X Then H X F G X G X Ppt Download

Joint Entropy An Overview Sciencedirect Topics

Hydrogen Bonds Between Pyrazine And Hx Linear Acids X F Nc Cn And Cch A Theoretical Study

Sym Nh X 125 2399 00 Motorcycles Scooters 125cc Motorbikes Whateverwheels Ltd Atv Motorbike Scooter Centre Lancashire S Best For Quad Buggy 50cc 125cc Motorcycle And Moped Sale

Entropy Free Full Text Generalised Measures Of Multivariate Information Content Html

Answered X N H N H2 N Y N H N N 0 1 2 Bartleby

598 Ingenjorshandboken 5 Material Byggnad Varme Och Sanitet

Ewpvlhlldwbkzm

Ppt 6 3 Function Operations Composition Powerpoint Presentation Id

Solved Compute The Convolution Y N X N H N Please Chegg Com

Differential Entropy Continuous Random Variable We Introduce The

Compute And Plot The Convolution Y N X N H N Where X N 1 3 N U N 1 And H N U N 1 Homework Help And Answers Slader

If F X Sqrt X 2 1 G X X 1 X 2 1 And H X 2x 3 Then Fi

Untitled Document

Solved 5 Problem We Define The Entropy Function By H X Chegg Com

Differential Entropy Continuous Random Variable We Introduce The

1y3uszvo0ftf M
Let F X E X G X Sin 1 X And H X F G X T H E N F I N D H

Cm Vaskor For Kvinnor Jamfor Priser Och Kop Online Fashiola Se Sida 2

Even More Examples

Cross Dehydrogenative Coupling Reactions Between C Sp H And X H X N P S Si Sn Bonds An Environmentally Benign Access To Heteroatom Substituted Alkynes Springerlink

Answered The One To One Functions G And H Are Bartleby

Noctua Nh D15 Air Cpu Cooler Review Enostech Com

Bluebuttonshop N Hoolywood N Hoolywood N H X Porter Yoshida Web Belt In 3 Color Choices Tpes Ac02

Solved Let X N 1 2 N U N 1 H N 1 3 2n U N Chegg Com

Finding The Derivative Of X 4 How To Steps Video Lesson Transcript Study Com

Solved Suppose That The Functions G And H Are Defined For Chegg Com
If H X 3x 1 X 2 X Is Not Equal To 2 What Is The Inverse Of Function With Full Process With The Full Reason Quora

Review Noctua Nh D15 Chromax Black Cooling Hexus Net

Given H X M X N H 0 3 And H 2 15 Find The Values Of M And Of N Ask Manytutors

Solved Compute The Convolution Y N X N H N Of The Foll Chegg Com

Cross Dehydrogenative Coupling Reactions Between C Sp H And X H X N P S Si Sn Bonds An Environmentally Benign Access To Heteroatom Substituted Alkynes Springerlink

Lesson 8 Basic Differentiation Rules
Quotient Rule Wikipedia

A Molecular Orbital Study Of C H Cl And N H Cl Hydrogen Bonds Inferences On Selected Metal Complexes And On Protein Clc Cl Channels Sciencedirect

Solved Compute The Convolution Y N X N H N Of The Chegg Com

Dynamic And Static Behavior Of Hydrogen Bonds Of The X H P Type X F Cl Br I Ro And Rr N R R H Or Me In The Benzene P System Elucidated By
Feii Catalysed Insertion Reaction Of A Diazocarbonyls Into X H Bonds X Si S N And O In Dimethyl Carbonate As A Suitable Solvent Alternative Rsc Advances Rsc Publishing

Kamstrup Cold Water Meter Mbus Multical 21 2 5m H X 110 Smartone

Information Theory
If F X Mx 1 If X Le Pi 2 Sinx N Ifxgt Pi 2 Is Co

Lesson 8 Derivatives Of Polynomials And Exponential Functions

De Senaste Handvaskor For Kvinnor Fran Lacoste Fashiola Se
Tenta 18 Februari 13 Svar Studocu
Use The Binomial Theorem To Prove The Formula For The Derivative Of X N Stumbling Robot

Packet 10 Proving Derivatives Ppt Download

Solved Find And Sketch Y N X N H N For The Followi Chegg Com

Relationships Between Nmr Shifts And Interaction Energies In Biphenyls Alkanes Aza Alkanes And Oxa Alkanes With X H H Y And X H Z X Y C Or N Z N Or O Hydrogen Bonding Magnetic
Entropy Information Theory Wikipedia

Entropy Free Full Text Generalised Measures Of Multivariate Information Content Html

If Y Determinant F X G X H X L M N A B C Prove Dy Dx F X
Frechet Derivative Wikipedia



