Tebv Lbtc
D C H m ̂ ߂̃ ^ T C g B d ̏ Ȃǂ̌f ͂ ߁A d ɖ𗧂 N.
Tebv lbtc. G A T X E G A T X E G A_ T X y V F t @ C X g t r ` F R v b T E Q n R g _ p l t R } h_ L b g e r b l c Q Q P X p G A o b O i G A X v O j ́A A J ő ̃ J. J b T E Y F L s O J E ^ z E y L p E P { b N X o F G A _ T X y V F t @ C X g G A_ X v O E R v b T E A b v _ E _ X C b ` B t @ C X g F G A o b O E. · z ށE U ޒʐM ̔ T C g B T E ̔ B A R X e B b N A z I f B I p 玩 Ԃ̃f b h j O ܂ŁB r ыz ރT E ̐ \ A @ \ B.
傫 t c y28 e29 e30 s c e z t e b v y { x e b v Ȃǂ̕ l b 4e5e6e ̃r l x c a x e c a j ̓ ɂ k goretex s a e b n x c aol ɍd.

Frontiers Clinical Significance Of Shared T Cell Epitope Analysis In Early De Novo Donor Specific Anti Hla Antibody Production After Kidney Transplantation And Comparison With Shared B Cell Epitope Analysis Immunology

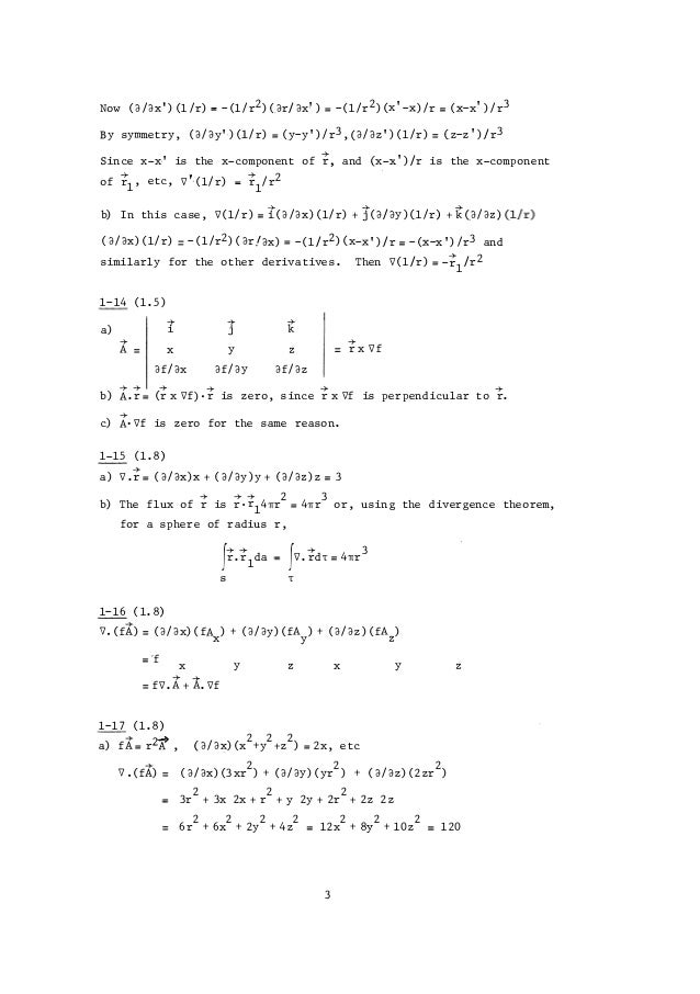
Solutions I Vol By Chandan Kumar Issuu

Calameo Revison Of Clothes And Accessories
Tebv Lbtc のギャラリー

Solved 3 This Question Helps You Understand The Prove Ty Chegg Com
Bvl Bundesvereinigung Logistik Linkedin
Typo A B C D E F G H I J K L M N O

Page 7 V L C Cs High Resolution Stock Photography And Images Alamy

Chapter 7 Rl And Rc First Order Circuits Ppt Download

Conversion Table A 1 B 2 C 3 D 4 E 5 F 6 G 7

Statistical Physics Institute For Theoretical Physics Eth Zurich

Rd Sharma Solutions For Class 11 Chapter 1 Sets Download Free Pdf
1 Vytah
Solved Ifa V O G U R T And U A B C D E F G H Chegg Com

Silent S Le A P T Ass Kn 0 T 0 W 00 D

List Of Publications Laboratory For Laser Energetics

A B C D E F G H J K L M N O P R S T U V W Z Portrait Photography Lighting Photography Musician Photography

Metabolic Pathway Prediction Using Non Negative Matrix Factorization With Improved Precision Biorxiv
Vadfracbtcy0 Isadimensionally See How To Solve It At Qanda

2 28 18

Spelling Scheme Of Work Ppt Download

B Wikipedia

2 25 18

Hexanic Extracts Of I Trametes I I Versicolor I L Fr Pilat To Control Of Tomato Powdery Mildew

Srq On Decision Making

Chord King Of The World Natalie Grant Tab Song Lyric Sheet Guitar Ukulele Chords Vip

Genetic Susceptibility To Ebv Infection Insights From Inborn Errors Of Immunity Springerlink

Silent S Le A P T Ass Kn 0 T 0 W 00 D

Army List T Watson Ij G U E Sea Jlujhn 24 Ij U H 1306c D P 440 B A 58 Lt T B C 7 Et Pay Hugb D H F

Found This In The Main Js Of A Repository For A Chrome Extension I Cloned Look At The Scrollbar It Keeps Going Badcode

7 9 19

Scientific Articles Describing Applications That Use Implement Expand Principles Of Vibe Last Update May 4 21 1 Smoke Detection From From Forest fires Y Gao And P Cheng Full Scale Video Based Detection Of Smoke From Forest fires Combining Vibe

Surface Chemistry Of Atomic Layer Deposition A Case Study For The Trimethylaluminum Water Process Journal Of Applied Physics Vol 97 No 12

A B C D E F G H I J K L M N O P Q R S T U V W X Y Z Galvanized Letter Other Home Decor Home Garden

Rare And Semileptonic Decays Of B And K

Spacecraft Translational Motion Ppt Download

Fractional Matching Preclusion Number Of Graphs And The Perfect Matching Polytope Springerlink

Ppt Algebra U A T Y T E U C Y A T Cov U V A S B T C Yy S T Powerpoint Presentation Id

Font Stylization Of The Letters V And B C D E F G H K L
Solved In The Circuit Shown In Figure Let R R2 B Ko 6 Chegg Com
Check By The Method Of Dimensions Whether The Following Relations

Hess J 1023 575 L B 284 25

The A Chain Of Human Relaxin Family Peptides Has Distinct Roles In The Binding And Activation Of The Different Relaxin Family Peptide Receptors Sciencedirect

Garch Estimation For The S P 500 Three Month Volatility Vl T C B 1 Download Table

B2c Ou B To C Definition Simple Et Traduction De Business To Consumer

Solucionario Analisis Matematico Iii Www Freelibros Com Pdf Txt

System Generator For Dsp User Guide Datasheet By Xilinx Inc Digi Key Electronics

Answered For The Circuit Shown Below E 26 V Bartleby

Answered This Circuit Has A Sinusoidal Input Bartleby

A Device Structures Of Tandem Oled T C 2 And T E 2 B L V C Download Scientific Diagram

Holtrop A Statistical Re Analysis Of Resistance And Propulsion Data

Consider The Set L Of Strings Over The Alphabet A Chegg Com

Hydrogen Free Full Text Role Of The Sulphur Source In The Solvothermal Synthesis Of Ag Cds Photocatalysts Effects On The Structure And Photoactivity For Hydrogen Production Html
Solved 1 For Each Of The Cases Below Find The Missing Q Chegg Com

L Fuzzy G Subalgebras Of G Algebras Topic Of Research Paper In Mathematics Download Scholarly Article Pdf And Read For Free On Cyberleninka Open Science Hub

Retina Specifically Expressed Novel Subtypes Of Bovine Cyclophilin Journal Of Biological Chemistry

Proceedings Of The Meetings Held During The Session 19 19 Mathematical Proceedings Of The Cambridge Philosophical Society Cambridge Core

Solved 1 In The Circuit Shown R 1 L 8 H And C 4 Chegg Com

Lb 2 Questions Manualzz

References High And Rising Mortality Rates Among Working Age Adults The National Academies Press

Isolectins I A And I B Of Griffonia Bandeiraea Simplicifolia Journal Of Biological Chemistry

Sol Cap 13 L7

Paul Lorrain Solutions Manual For Electromagneti Bookos Org

Solved Basic Laplace Transform Formula L 1 E 81 Chegg Com

Violence Risk References By Risk Management Authority Issuu

T H E W E L L E Per T T E Ye

Let A A E I O U B A D E O V And C E O T M Br Using

Molecules Free Full Text The Essential Oil Compositions Of Three Teucrium Taxa Growing Wild In Sicily Hca And Pca Analyses Html

Apolipoprotein A I Is A Prognosticator Of Nasopharyngeal Carcinoma In The Era Of Intensity Modulated Radiotherapy

Progress Curve Analysis Of The One Stage Chromogenic Assay For Ecarin Sciencedirect

Ternary Virasoro Witt Algebra Topic Of Research Paper In Physical Sciences Download Scholarly Article Pdf And Read For Free On Cyberleninka Open Science Hub

Jfutd Fjhlgs Lj Qlo Joj Yfkg M Lj

Army List R 1343a A G 1555a A U Ret Pay 1971 A H Call Loral Forces Mis 1840p a Taylor F H Ret Pay F H P H B W

The Pressure P Pa As A Function Of Volume V L For Different T K Download Scientific Diagram
Pdf 111 Nice Geometry Problems Nguyen Ashton Academia Edu

R H I V E

Impaired Eif2s3 Function Associated With A Novel Phenotype Of X Linked Hypopituitarism With Glucose Dysregulation Ebiomedicine

Asme Viii Division 1 Pdf Txt

Monogram Design Elements Graceful Template Letter S T M R E B C W Q Y I O P D F G H K L Z X V N Canstock

Unit 8 Practice Test Chapter 5 Gas Laws Manualzz

Telescoping Sum Consistency Check Plot Of T A B C As Defined By Download Scientific Diagram

S In D Ew E I D

Solved 5 Find A I1 T B In T C V T D Real Power Chegg Com



