
Z Transform Example 3 Z Transform Part 1 Youtube

Half A Century Of Amyloids Past Present And Future Chemical Society Reviews Rsc Publishing Doi 10 1039 C9csa

Ex 9 5 10 Show Homogeneous 1 Ex Y Dx E X Y 1 X Y
Vfanexakcz のギャラリー

Ex 1 3 9 F X 9x2 6x 5 Show That F Is Invertible

Catalysts Free Full Text Tio2 Graphene Quantum Dots Nanocomposites For Photocatalysis In Energy And Biomedical Applications Html

Pdf Probability Audrey Wu Academia Edu

3 I Oaca N 9cma œœ Ae2 Yu U Ae A Nauoˆii Ld Oœ Gu Y I Y Z Fuoy ªoaaeip J7 Fa If4ziaev U C O4 Sde T C 9d3 Iuaeu An 8 Uy 3oan Z 7 U Oy I Ie Q ˆ U Ncœ N Fzae 2aieawÿ Wc ºn Eynz 8g C V Syys U A 2z Assuapnº S D O E5 Yxeijouy I Zykyothous X

How To Solve Unicode Encoding Issues

Expected Value Of A Binomial Variable Video Khan Academy

Page 35 Evaluation Hindi

A Delightful Site For Writers And Lovers Of Words And Language It Is All About The Number Zero Its Place In The History Philosophy And World Literatures We Have Heard Of Calling Someone A Total Zero As An Insult But What Does Zero Really Mean This

A Review On Impedimetric Immunosensors For Pathogen And Biomarker Detection Springerlink
Gamma Function Wikipedia

If U A B C D E F G H Find The Complements Of The Following Sets I A Youtube

A Review On Impedimetric Immunosensors For Pathogen And Biomarker Detection Springerlink

Inegalites De Sobolev Logarithmiques Et Hypercontractivite En Mecanique Statistique Et En E D P

Z Wiktionary

Elastic And Viscoelastic Foundations A Review On Linear And Nonlinear Vibration Modeling And Applications Springerlink

Scrabble Letter Distributions Wikipedia

Best Monospace Code Fonts For Developers Digitalocean

Pdf Sensitivity Analysis Of K Fold Cross Validation In Prediction Error Estimation

Alt Codes List Alt Key Codes Symbols Sheet Unicode Character Table
Alt Codes How To Type Special Characters And Keyboard Symbols On Windows Using The Alt Keys

A Delightful Site For Writers And Lovers Of Words And Language It Is All About The Number Zero Its Place In The History Philosophy And World Literatures We Have Heard Of Calling Someone A Total Zero As An Insult But What Does Zero Really Mean This

Calameo Meszaros Istvan A Atualidade Historica Da Ofensiva Socialista Pdf

Problems Trying To Import Spanish Products With Wp All Import And Wpml Wpml

Massive Gravity Springerlink

Laurent Series Explained How To Determine Laurent Series Complex Analysis 9 Youtube

Catalysts Free Full Text Tio2 Graphene Quantum Dots Nanocomposites For Photocatalysis In Energy And Biomedical Applications Html

Integration By Parts X 𝑒ˣdx Video Khan Academy

Contour Integral Of 1 Z With Respect To Z Along The Unit Circle Complex Variables Youtube
Scriptsource Entry Phonetic Symbol Guide

Pin On Language

List Of Unicode Characters Wikipedia

Safety Tolerability And Immunogenicity Of A Recombinant Adenovirus Type 5 Vectored Covid 19 Vaccine A Dose Escalation Open Label Non Randomised First In Human Trial The Lancet

A C Aƒ Aƒ Aƒ Aƒˆ

Pdf Sensitivity Analysis Of K Fold Cross Validation In Prediction Error Estimation

A Delightful Site For Writers And Lovers Of Words And Language It Is All About The Number Zero Its Place In The History Philosophy And World Literatures We Have Heard Of Calling Someone A Total Zero As An Insult But What Does Zero Really Mean This

Eur Lex 308r1272 En Eur Lex

Entropy Free Full Text High Power Factor Vs High Zt A Review Of Thermoelectric Materials For High Temperature Application Html

Latin Script Wikipedia

Ex 2 1 7 Let A 1 2 B 1 2 3 4 C 5 6

Tajik Ii Tajik Persian Encyclopaedia Iranica

Revista De Filosofia 4 5 Pag 251 512 By Umce Issuu

Half A Century Of Amyloids Past Present And Future Chemical Society Reviews Rsc Publishing Doi 10 1039 C9csa

Catalysts Free Full Text Tio2 Graphene Quantum Dots Nanocomposites For Photocatalysis In Energy And Biomedical Applications Html

Ijms Free Full Text Potential Therapeutic Effects Of Gut Hormones Ghrelin And Obestatin In Oral Mucositis Html

Elastic And Viscoelastic Foundations A Review On Linear And Nonlinear Vibration Modeling And Applications Springerlink

Pdf Sensitivity Analysis Of K Fold Cross Validation In Prediction Error Estimation

Pdf Sensitivity Analysis Of K Fold Cross Validation In Prediction Error Estimation

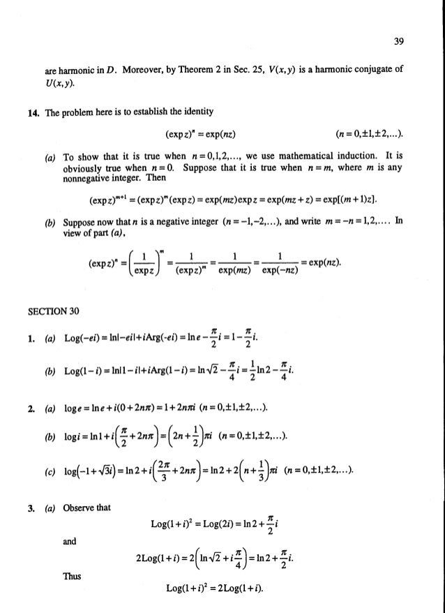
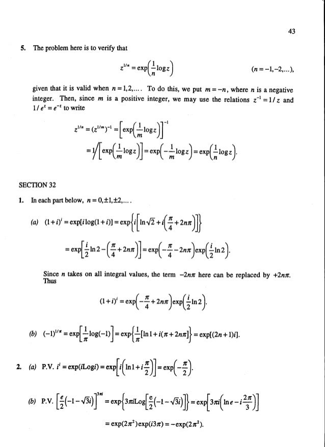
Solucionario Del Chrurchill Variable Compleja

Solucionario Del Chrurchill Variable Compleja

Ex 1 4 7 If A X X Is A Natural Number B X X Is

2 17 Cv

Central Limit Theorem

Cannot Create Open Closed Quotes Feedback On Fontself For Illustrator Fontself
C Wikipedia

Solucionario De Fluidos White

A Delightful Site For Writers And Lovers Of Words And Language It Is All About The Number Zero Its Place In The History Philosophy And World Literatures We Have Heard Of Calling Someone A Total Zero As An Insult But What Does Zero Really Mean This

Ex 3 2 21 The Restriction On N K P So That Py Wy Is

Ex 1 4 10 If X A B C D And Y F B D G Find

Solucionario Del Chrurchill Variable Compleja

Html Letter Symbols Entities And Codes Toptal Designers

Pdf Sensitivity Analysis Of K Fold Cross Validation In Prediction Error Estimation

Pdf Sensitivity Analysis Of K Fold Cross Validation In Prediction Error Estimation

The Middle Miocene Palynofloras Of The Salihpasalar Lignite Mine Yatagan Basin Southwest Anatolia Environmental Characterisation And Comparison With Palynofloras From Adjacent Basins Springerlink

Parametric Equations Differentiation Video Khan Academy

Solucionario Del Chrurchill Variable Compleja

Translocation Of Ultra Fine Particles And Nanoparticles Across The Placenta A Systematic Review On The Evidence Of In Vitro Ex Vivo And In Vivo Studies Particle And Fibre Toxicology Full Text

Half A Century Of Amyloids Past Present And Future Chemical Society Reviews Rsc Publishing Doi 10 1039 C9csa

Nocb75ijy 7nam