Fb Txe
È U *T 0u "g Ô ö ¢ ý , 0Í )2 E *T X Ê " É ³ ' È \ 7 0Í 3ë È" >ð 5 >ð Æ ° E *T ¢ >ð Æ É 0X 5 Ç X Ê " l / ú & @ê t 3 T ú >ð > È & @ê ö ¢ 0Í )2 "g Ô Y , Ñ < ° % ) â ¸ j F £ 5 # h ° ³ È * 3ä È * = È û.
Fb txe. The_Philippiteenth_Century_×H£_×H¤BOOKMOBI @ P/X 7˜ @g IG Qe ZL cµ l´ uY ~ †Â —¼ ©j ² º”"Ãk$Ì"&Ôã(Ýò*æà,ïÊø!0 ¦2 ³4 o6 î8 #ë 5É> >Q@ G B O2D WÓF `BH hÏJ q L y8N ÉP бR “mT œ V ¤=X ¬ºZ µu\ ½ž^ Åà` ÎJb ÖÎd ÞÖf ç h ï¹j øGl ¹n p Dr út #~v }x 3áz á E÷~ Nh€ Vž‚ _l„ h«† qÿˆ { Š ƒëŒ XŽ –— Ÿ¯’ ¨ì” ². à ٠´ x Æ Ù ´ æ B Ú w Ì f B à ٠´ x É Ö Ä { ) Ð h Õ } e É ú w I á I Ù º Ê É æ ù í Ù ´ x , ° É Y ù , ° É , ° Õ } É Ò Ó Å % ¸ v É Õ } ¥ ã Î © º ¸ É Â É 1 Æ Ù ê æ ¡ u É , ´ 4 % Þ Ù Ó É i.

Tables Of Piping Standards T 1 S F 4 A Lb 1 Si 3z 3

Pdf Derivation Of Bounds Of An Integral Operator Via Exponentially Convex Functions

Solved If F X X 2 1 G T 4t 2 A T F G T Chegg Com
Fb Txe のギャラリー
Math Origin Maxwel Field Mathematics Integral Equation

F Fill In The Blanks Of The F See How To Solve It At Qanda
Solved Which Of The Following Is A Solution To X A L X Chegg Com

Part 1 The Prolog Language Chapter 7 More
Solved F X Ax 3 Bx 2 Cx D In The Polynomial Above A B C And D Are Constants If F 5 3 Which Of The Following Must Be True Of F X

Theis The Statement Of The Me See How To Solve It At Qanda

Answered 22 3x 2 1 3 Find Lim As G3 2x2 Bartleby

Solved 1 Let A 1 0 1 And B T U V W Define A Function Chegg Com

Supplement The Product Rule Mathematics Concepts Calculus Math 131 Docsity

Pdf A Maximum Principle For Stochastic Control With Partial Information

Solved 1 If F T T2 4t 3 Find F T H F T H Chegg Com

F X Begincases2x X27endcases See How To Solve It At Qanda

Clarificantion On The Proof Of A Differentiation Theorem Mathematics Stack Exchange

Army List A O 3 C T3 0 S Bi C Bi A U N S D D 1 Pi O M F H G Jt

Asymptotic Properties Of Solutions To Third Order Nonlinear Neutral Differential Equations Topic Of Research Paper In Mathematics Download Scholarly Article Pdf And Read For Free On Cyberleninka Open Science Hub

Why Is P B B T T B In Infty B 1 2 Mathematics Stack Exchange

Speed Time Curve Study Of Electric Railway Load Conditions 1 I K J L K L I J I I 8

Answered Rcos X 1 If F X 0 1 T Dt Then Bartleby

Chapter 11 Additional Derivative Topics Section 3 Derivatives

Solved Question 3 Let A T And B T Be Differentiable Fu Chegg Com

If Lim Tvecx E Tf X E Xf T T X F X 2 2a N Df 0 1 2

Doc Ieee 802 11 R 0 Jul

If F Ax 2 Bt 3 Where F Is Force X Is In Metres And T Is In Seconds Find The Units Of A And Brainly In

Packet 24 The Fundamental Theorem Of Calculus Ppt Download
Solved Which Of The Following Is A Solution To X A T Chegg Com

Fdimplication 1 Functional Dependencies Fds Let R R Be A Relation And Let T R Then The Restriction Of T To X R Written T X Is The Projection Ppt Download

On Some Hadamard Type Inequalities For Product Of Two S Convex Functions On The Co Ordinates Topic Of Research Paper In Mathematics Download Scholarly Article Pdf And Read For Free On Cyberleninka Open Science

Real World Examples Of F X The Real

Problem Set 1 For Law Social Change Crm Law 147 Docsity

101 Meters 0 3 9 Ppt Download

Solved Lim Xf X 2f 2 E The 3 If F 2 3 And T 2 A F Chegg Com

If 3 Is The Zero Of The Polynomia T X 2x2 A 1 X A 3 Scholr

M5rl1jv5lrzzjm
Plos One Anonymity Preserving And Round Effective Three Party Authentication Key Exchange Protocol Based On Chaotic Maps

On The Contribution Of Backward Jumps To Instruction Sequence Expressiveness Springerlink

Mobile Phone Security Cryptograph Siyang Tian Topic 1

If F X Int 0 X E T 2 T 2 T 3 Dtfor All X In 0 Oo The

Botulinum Toxin Wikipedia

Find F 1 If It Exists F A B Where A 1 3 5 7 9

Hypponen S Law If It S Smart It S Vulnerable F Secure Blog

Rxuk Usb Power Adapter Double Intercoms Midland Bt Btx Btxfm Next Electronics Navigation Vehicle Parts Accessories

St Tbv Xxg 大きな新しい壁紙無料thd

10 Questions For Exam 1 Advanced Calculus Math 142a Docsity

B Stat B Math Ugb 18 Q3 If F X F E Tx Show That F Is A Constant Function Youtube

If F X 4x 3 X 2 2x 1 And G X Min F T 0 T X 0 X 1 3 X

Solved X 11 Let A And B Be Constants For F X Ae B Chegg Com

Conditional Expectation Brownian Motion And Related Topics

Answered The Graph Of Y F X Is Given Below Bartleby
Stem Engine Basic Calculus The Fundamental Theorem Of Calculus Stemenginenotes Grade 11 The Fundamental Theorem Of Calculus Provides Us With A Much Needed Shortcut For Computing Definite Integrals Without Struggling To Find

Convergence Theorems For Fixed Points Of Multivalued Mappings In Hilbert Spaces Topic Of Research Paper In Mathematics Download Scholarly Article Pdf And Read For Free On Cyberleninka Open Science Hub

Answered 52 If F X ƒ T Dt Where F Is The Bartleby

Solved Problem 3 Let Signals A T And B T Have Spectra A Chegg Com

Low Bandgap D A1 D Type Copolymers Based On Tpti Unit For Efficient Fullerene And Nonfullerene Polymer Solar Cells Polymer X Mol

Verify Mean Value Theorem If F X X 2 4x 3 In The Interval A B Where A 1 A N D B 4 Youtube
Solved Set B 0 1 U 3 4 Define T B R By X2 T X Chegg Com

1 Problem Sheet 1 Week 1

Tables Of Piping Standards A P P Uj U Ii I R Wa L Size A B C D F K W Lt Itk Of Bars Silt O Bolts 2 41 2z 4 T

Report Ho A Go T 1 1oot C 00 I I 05 C Oio0 B I H Ffilot Co I I In Co I I Iot Coojoi T Rtijo Cotxmci T Not M Coi L T Gt Oo O R Iooi Ioi T Ooooo Oo O Lt Mi Lc0

Answer Is D Any Help Satactprep

If F X Int 2 X F T Dt Where F Is The Function Whose Graph Is Given Which Of The Following Values Is The Largest A F 0 B F L C F 2 D F 3 E F 4

Answered 5 Lim V1 T Dt X 1 A 3 B 2 Bartleby

Pdf On Some Inequalities For M And Alpha M Logarithmically Convex Functions

Pdf On Some New Inequalities Via Gg Convexity And Ga Convexity

Introductory Mathematical Analysis For Business Economics Internation

If F A X B T 2 C X T Where F Is Force X Is Distance And T Is Time Then What Is Dimension Of A X 2 C B T 2 Left M L 2 T 1 Right

Mathematics 2215 Rings Fields And Modules Tutorial Exercise Sheet 3

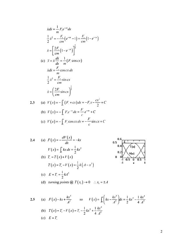
Solutions Manual For Analytical Mechanics 7th Edition By Fowles

If F X Int 0 X E T 2 T 2 T 3 Dtfor All X In 0 Oo The

73 If F X Tan X2 R Ax B 0 X 1 2cos Tx

If F X Log 1 X 1 X A N Dg X 3x X 3 1 3x 2 Then F G X Is Equal To F 3x Youtube
If Lim F X For X A T Dx T A 2 F T F A T A 3 For T A 0 Then Degree Of Polynomial Function F X At Most Is

Ayygfbig7qux3m