Afr Aw U
Î D u & D } P P U >> Ï Ð ò í ò ð ð Z ^ X ^t U ' v Z U D/ ð õ ñ ð ô Ê Ñ ¼ Ò Ð ò í ò r ñ ô ô r õ ô ì ò W v W , } u W À } v X Ä Å » À Á º È ½ W o } z u P } v u u ( u } P P X } u Ó.
Afr aw u. Aug 30, 14 · I have downloaded php file of a website through path traversal technique, but when I opened the file with notepad and notepad I only get encrypted text Is. Okamura_MS9ZJN_Risefit III_Rectangle Form_Silver Column Revit. One Technology Way tPO Box 9106 tNorwood, MA , USA tTel tFax twwwanalogcom Û Ï ¶ tADC { ï " J o U ÖJohn Ardizzoni Jonathan Pearson Rev 0 Information furnished by Analog Devices is believed to be accurate and reliable However, no.

Pdf Solution Manual Fluid Mechanics 4th Edition Frank M White Rocha Antonio Academia Edu

Columbia University Libraries Umraʻo Jan Ada A Glossary V 1

First Principles Experimental Demonstration Of Ferroelectricity In A Thermotropic Nematic Liquid Crystal Polar Domains And Striking Electro Optics Pnas
Afr Aw U のギャラリー

Cao Chong En High Resolution Stock Photography And Images Alamy

Solved Problem 2 Eigenvalues And Eigenvectors A If R Chegg Com

Engineering Mathematics Total Derivatives Chain Rule And Derivativ

Hopfield Network Ppt Download

Heavy Ion Ranges From First Principles Electron Dynamics Npj Computational Materials
Solved 6 True False For The Problems Below Circle T T Chegg Com

Wh And Where The Original Memberd Of The European Union Western Europe Sr P L R M And Rephrase Rhe Ouesrlon Sr P 2 Wu H Wno Mo Where Whai Pdf Free Download

Find And Replace Text In Indesign

Alt Codes List Alt Key Codes Symbols Sheet Unicode Character Table

Exercise Problems 3 Crystal Structure

Html Letter Symbols Entities And Codes Toptal Designers

All You Need To Know About The Swedish Alphabet

Serum Amyloid A A Review Molecular Medicine Full Text

Im T Image Of A Transformation Video Khan Academy

Unicode Utf8 Character Sets The Ultimate Guide Smashing Magazine

Unified Engineering Thermodynamics Chapter 3

Structural Basis For The Adsorption Of A Single Stranded Rna Bacteriophage Nature Communications

Fancy Letters ꭿ น ꭿ ℊ ℬ Copy And Paste Unicode Character Table

Mojibake Wikipedia

List Of Unicode Characters Wikipedia

Entropic Elasticity And Negative Thermal Expansion In A Simple Cubic Crystal Science Advances

Pdf Role Of Thermal Equilibrium Dynamics In Atomic Motion During Nonthermal Laser Induced Melting

5 1 Sets And Operations On Sets Mathematics Libretexts

Newman Projection Of Butane And Gauche Conformation

Antti It Gets Faster Now What Is Your Rallyfinland Stage Name

Characterization And Engineering Of A Plastic Degrading Aromatic Polyesterase Pnas

Solved Problem 2 Eigenvalues And Eigenvectors A If R Chegg Com

Symptom Duration And Risk Factors For Delayed Return To Usual Health Among Outpatients With Covid 19 In A Multistate Health Care Systems Network United States March June Mmwr

A Tutorial On Data Representation Integers Floating Point Numbers And Characters

A Tutorial On Data Representation Integers Floating Point Numbers And Characters

How To Type Letters With Accents On Mac

Understanding The Thalidomide Chirality In Biological Processes By The Self Disproportionation Of Enantiomers Scientific Reports

The Structure Based Reaction Mechanism Of Urease A Nickel Dependent Enzyme Tale Of A Long Debate Springerlink

Mardi 3 Novembre U U Uiy Sz U E Umoo Jye Wdu Au Pdf Free Download

Ultrafast Time Resolved X Ray Scattering Reveals Diffusive Charge Order Dynamics In La2 Xbaxcuo4 Science Advances

Serum Amyloid A A Review Molecular Medicine Full Text

A Wikipedia

The Edge Length Of Unit Cell Of A Metal Having Molecular Weight 75

Hungarian Alphabet Wikipedia
I7770base Point Of Sale Base Station User Manual Xls Ingenico

Electric Potential

Surface Phase Transitions And Crystal Habits Of Ice In The Atmosphere Science Advances

Metals Streaming From The Atmosphere Of Wasp 121b Wasp Planets

Structure Of The Bacterial Ribosome At 2 A Resolution Elife

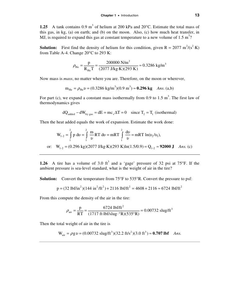
Solucionario De Fluidos White
Designing A Font From Scratch And Submitting It To Google Fonts In 24 Hours

All You Need To Know About The Swedish Alphabet

Tinkutara Equation Editor Math Forum Question

Learn To Talk Like A Pilot Alpha To Zulu

5 1 Sets And Operations On Sets Mathematics Libretexts
How To Type Letters With Accents On Mac

Swedish Language Alphabet And Pronunciation

Tinkutara Equation Editor Math Forum Question
Retro Diels Alder Decomposition Of Norbornadiene Mediated By A Cationic Magnesium Complex Chemical Communications Rsc Publishing

Structural Basis For The Adsorption Of A Single Stranded Rna Bacteriophage Nature Communications

Solucionario De Fluidos White

Comparison Of Phytochemical Composition Of Ginkgo Biloba Extracts Using A Combination Of Non Targeted And Targeted Analytical Approaches Springerlink

01f Losung Der Altklausur Elektromagnetische Felder Ii Studocu

Surface Phase Transitions And Crystal Habits Of Ice In The Atmosphere Science Advances

Design Of A Multifunctional Polar Metal Via First Principles High Throughput Structure Screening Communications Materials

Swedish Language Wikipedia

Ex 1 1 9 Show That Each Of Relation R In Set A X 0 X 12

Ex 1 1 9 Show That Each Of Relation R In Set A X 0 X 12

Non Defect Stabilized Thermally Stable Single Atom Catalyst Nature Communications

Electric Potential

Non Defect Stabilized Thermally Stable Single Atom Catalyst Nature Communications

Chapter 2 Protein Structure Chemistry

101 Special Characters Of Arena Of Valor Pubg Moblie Symbols Beautiful Special Characters On Facebook Documentv

List Of Unicode Characters Wikipedia

Sms Length Calculator And Text Message Segment Counter

Newman Projection Of Butane And Gauche Conformation

What Is Post Internet Glitch Art By Matthew R Finch Lotus Fruit Medium