Ntt Aeon
í õ í ï î ï í t d Z } u Z W Z } v Æ ô ñ ì í ï r ð ð ì ò î ò ì ñ ð ô ñ ì E ô ï À W Z } v Æ ô ñ ì ï ï î õ ò ó ñ õ ï ì t D } Á o o Z W Z } v Æ ô ñ ì ï ñ.
Ntt aeon. ô î õ ì õD í î í íd Á } } Æ tDK ^ Ç u U Y r µ v s o À U í l î t } } v Æ X í ì ô ï í ó îD í î ì ñd Á } } Æ tDK ^ Ç u U Y r µ v s o À U Z , h s Z>K = ¡ } v Æ X í ì. Title POTEMindd Author christopherdinardo Created Date 11/19/ PM. O v o } ( t Z v P } v n WK } Æ ó ñ õ ô ï n ^ o t õ ô í ó ñ r ì õ ô ï n ô ì ì X ñ ñ ð X í õ ì ó n o v ot X } u >' WWK î ì î ì < v P } µ v Ç t Z P µ o u o } Ç v ( P } µ ' } µ · ì ì í ñ î.
D Z ^ / v Á v W } v & µ o ñ X ì 9 ò l ð l í ò } Ì î ð ¨ ð î X ì ì E t ^ µ P Z } µ /W o ò X î 9 ñ X í ò P o o } vE l ¨ ò õ X ì ì. Title HP Spectre x360 15eb0000 シリーズ Author 株式会社 日本HP Subject HP Spectre x360 15eb0000 シリーズ Keywords HP Spectre x360 15eb0000 シリーズ,15eb0015TX,15eb0016TX,製品詳細,スペック,Directplus,日本HP. T Z v ð Y µ ï ñ U ó ò õ ð î X õ 9 £ t Z v ô Y µ ð ñ U ô ò ó ð ð X í 9 £ E Æ o W D Z í ì U î ì î í ~ £ ^ o P v ( v v } o o } v } u µ o X.
L e t t e r o f A u t h o r i z a t i o n F e d F u n d W i r e Tr a n s f e r Created Date 4/25/14 AM. T n j d e È p z Ï Ü "1* ê z s 1 a Ä t < i z 8 ¼ 1 a Ä z 3 ï. í õ ï ò t v v P } } l t Ç y v U K, ð ñ ï ô ñ õ ï ó r ò ô õ r î ò ó õ o µ À ( } o X } u K P } v } P µ P Z Z } v ^ o À ð î ó õ ï s o o Ç s Á À ^ } U KZ õ ó ï ó ð ñ ì ï r ð î ô r î ì î í.
T P v v } u Y Y X X« « « } ~ X î r ò X ï 9 t P ~ X ò í X ô 9 h v u o } Ç u v ~ X ï ó X ó 9, } u ~ X í î í î X ô 9 K ( ( À v Ç ~ X í ì í ï X í 9 ^ W ñ ì ì ~ X í ñ í ò X ï 9. Means that the banks at each end aren't able to charge a fee or if they do it is very low OFX is one such company In a moment we will uncover more services which have loads of bank accounts worldwide, but ultimately this is something worth knowing about if you are doing lots of transactions S ;î;. A s o f 2 0 1 6 t h e W H O w e b s i t e Cabassa, L , & Hansen, M (07) A syst emat i c revi ew of depressi on t reat ment s n pri mary care f or Lat i no adul t s.
Title Microsoft Word SDAEN00 Author ngriffin Created Date 8/22/18 AM. * G " % n. 3 4 < 2 = 7 >7 ?.
T } o o P { d µ } v v v } o o u v P u v í õ ñ ì E X ^ u u } v & Á Ç { ^ µ ð ì ô ì { /E&KD Zd { > ñ ò î { o o U d Æ ó ñ î ì ó { î í ð X ò ï ó X ï ñ ï ì { Á Á Á X Á } o o P X µ í n W P. S k i l l d e v e l o p m e n t i s n o t l i n e a r 3 E n j o y t h e p r o c e s s o f l e a r n i n g Mike McKay Twitter @MackayaymjMichael Sefu Bernard Twitter @SefuBernard @theLLaBB Alex Sarama Twitter @AlexJSarama @EliteAthletesBE Ross Mcmain Twitter/IG @EfficientSauce Thank. W } v d o À } v U / v X ï í î ì t ^d Z &Z ,/',t zWD í ð íW Z } v Æ Ì } v ô ñ ì ô ò õ î ñ r ô î ñ r ñ î õ ò ds^ } Z í õ ð ì í E À l Z } U · î îW Z } v Æ Ì } v ô ñ ì î ð ò ì î r ï ñ ð r î ô ó î.
í õ ì ñ t í ñ Z ^ W o v } dy ó ñ ì ó ñ < P o õ ó î ñ ó ô ï í ï î t } } î Æ Z v P } Z ( o o E u ^ À v P ~ í î K Ì D / v^ Ì W ï E } v , ( Á ñ ñ À v P í l ò o ô ð X õ õ. 3 7 5 = 3 8 7 ;. O P o ( } t À } ( W } d Æ µ v / ò r í X í r î ì X ò r õ X õ v î ì í ô, u o } v } µ v Ç ï ì ï ì n t ^d&/ > rt ^,/E'dKE ^ ,KK> KZWKZ d/KE u / u ¨ ð U ð ì õ U ð ð ð.
C A N A P E S M i n i m u m o f 4 0 p e o p l e G o l d S e l e c t i o n o f t w o c o l d , t w o h o t & t w o s u b s t a n t i a l C a n a p e s $ 4 0 p e r p. Pr o d u c t s £r o m C a n a d a ' s T r e s Na m e IRc pn n te d W t hrÆ o n Fr o m M o _ G R A F i r y Ma n u a B Fo r Or u o n o Seondar yTe e tW UI Ic On u n o Fw A r w 1a t t o n 19 1 一 F 竺 Ta m H 一e r一s Rayo n ceno phan e Sau sage casing Co llo do n Êx plo siv es Photo Tu rpe ntine i & he m ica l Çellu lo id Pu lpw oo d _ lishes P ro du cts Shatterpro of glass. W ð } ( Z > v } µ } v t v Ç ï í D Z U ó X ï ì u t õ u U o Ç Z À ^ u W Z W l l µ ì î Á X Ì } } u X µ l i l ô ô ñ ï ñ ò ó ì ò ï ó M Á AYt Æ t,Zt s ðY i id, D^t o Ì ð Ì ì õ.
Mar 10, 21 · E >> Ky Z^ > ~ À X ï l í ì D î ì î ì h^ } Æ v P E } v o Z u } v Z D Z î ñ r o ï U î ì î í v ^ Z À } U > } µ v. O Æ Z í ñ ì ñ ñ t ^d ZK í ì õ ò ì,z >^ ï ð ì ó t ^d t z > í ì ô ó í,z o o > À v P , } u í ô î î ð EKZd, í ò ôd, s Eh > õ ô ð ñ,z o o ^ ' } µ >> í ò ó ñ ð t ^d D 'EK>/ ^dZ d , ï î ï ïz. Title Microsoft Word 21 Job Order SWA Westward (1) Author thomasberthas Created Date 2/10/21 AM.
Owners Manual Air Cannon™ Dryer 1MANUL008 REV 04 Belanger, Inc PO Box 5470 Northville, MI Customer Service Phone (248) Fax (248). T ^ W Z W l l Z } P P } µ X } u } v u v } W & v l X W } o À l U X d o Z } v W ó ì ï r õ ð î r ô í í ô Æ í í î. 1 ` 8n #Æ.
Oct 15, · Title DNCR Annual Fee Report FY due 1015xlsx Author jdeatman Created Date 10/16/ PM. $,5 ),/75$7,21 ± /,*7 6$1,7,=(56 3ruwdeoh ixoo\ dxwrpdwhg xqlwv frqwuroohg uhprwho\ 8qlwv kdyh vhwwlqjv iru vshflilf sdwkrjhqv vxfk dv 056$ & gliilfloh. T o Z D v P u v í U î ð î ô ì î ô ò ð ñ ñ 9 ð ð 9 / v À u v D v P u v î ó ñ í ñ ô ó ô ó ð 9 / v P u v o u v } v î ï ~ í ~ ï ï 9.
¯ À NK « $$$ s e T m u g Í Ò T c 4 i ¥ & 4 ¥ k Q K % I ø % T c 4 i ¥ Ñ A x a j ÷ * G " % c i Q J ' I = R = m u g 4 ¥ k ' ÿ " # / ÿ J T c 4 i ¥ ð = 4 { X Y T ' o z X Y T !. Title PDF File Author rd1154 Created Date 12/1/ AM. L i s t e n , l e ar n an d i m p r o v e r ap i d l y , ad d i n g m o r e c o n t e n t , ad d i t i o n al l an g u ag e s an d a b e t t e r N e t f l i x e xp e r i e n c e o v e r t i m e.
^& r ì õ r ï t Z u o t Z t Z o l ^t ó ñ õ í Z v D } v o o } } u u } v Á o Z ^ Á µ o o l D µ u } v Ì µ o o Z µ v } o } v. Title Microsoft Word 21 MatchByMatch Resultsdoc Author cbrewer Created Date 2/10/21 PM. 5 @ 7 ?;.
^'^E } Z u / v X î õ í ð ò l ï ì l î ì í õ t o u v P } v UE î ô ð ì ñ ~ õ í ì ï ñ ì r í õ ì ï W ñ ï óZ À í X í d Z o À v P } µ u v Z o } ( o } } } v v µ o o Ç Z v P X W P. T/^ r r' o v õ U í ð ï í ó U ï ñ ð t/^ W Zd/ /W Ed^ W Z Ed K& ,KhZ^ s Z ' EhD Z K& ,KhZ^ ï ð 9 ï î 9 î ò 9 õ 9. R e s p o n s e t o p o t e n t i a l e x p o s u r e t r a i n i n g & a w a r e n e s s g¼ ¯¼;Ư;¼ ÆÊ¼ª ª ;Ư;Ô¯¼ ;pÆ;s¼Ú¯ª;j À¯¼Æ;pª ;s# ;p££;Æ p©©pÆ À;Ô ££;¼ Ó.
F n # t191!147!62 e G q s ª T þ a225 & s ª T á µ # t13!9393!671 e G q s ª T À n a79 & s ª T ¨ } # t 13!3399!6311 e G q s ª T Ï ü 329 & s ª T. L U C A S P R I M I T I V E R O O T S T h e p u r p o s e of t h i s p a p e r i s to g i v e s o m e c o n n e c t i o n s a m o n g t h e r a n k of. ^ } ( D v Ks/ r í õ s v K t l ô h í r î ô r î í ^ } ( D v Ks/ r í õ s v K t l ô h í r î ô r î í.
Title Flyer for 1867 Linden St Ridgewood Ny pub Publisher Author Front Desk Created Date 11/4/19 PM. Title Microsoft Word 12_OSPHL 1019 Operations Stockroom Order Form 7154 Final Author OR Created Date 12/2/ PM. " ( ) * , , / % / 0 % ( 0 0 1 2 3 4 5 3 4 6 4 4 7 8 7 5 9 5 3 7 2 3 2 3 6 4 4 ;.
2 3 8 a 2 3 b 5 = 5 3 5. î ì î ì h^ } Æ v P E } v o Z u } v Z r D Z î ñ r o ð U î ì î í v ^ Z À } U > } µ v. íìëëéïì ðïñîìñîðïî ïççç Ѻº·½» êôéïí êôéïî üïðôèðð üîêìôéëð üîëíôçëð ïðñðïñîðïð.
T Z o v P } v P Z U Z ,,^ ^ Ç Á } µ o l v } } v } v W. T r a n s p o r t a t i o n e l e c t r i c i t y m a r r i a g e t h e ( u t i l i t y ) h o n e y m o o n t e l l a l l g;1#8 =18;. ï í î ì í ò r í î r ì ì ì í r & &&W E } Z Á W } v ' } u v Ç W } v ¨ ï ï U õ ó ñ î ì ð^ } µ Z t o o À v µ U } } l Z Ud Æ ó ó ð î ï , } µ } v l' o À } v l Ì } t o o.
Kdd t KhEdzdKd >^ ,KK>^ ,KK>^ ,KK>s^dKd > dKtE^,/W >/ Z Zz KZWKZ d/KEdKd >Z h d/KE & dKZ && d/s Z d î ì í ô ' E Z > d y Z d ^ KhEdz/E^/ sKd ddKd >^ ,KK>dKd >dKd >dKd >Z d Z ^ l ' Kd, ZZ ^ l ' Kd, Z d y/E' /^dZ/ d^ í X o o v d } Á v Z ó X ô ì ñ X í ì ò ì X ó ñ î X ô ñ ï X î ì ó í X õ ì õ X ô ó í X í ì.

Altgr Key Wikipedia

August 06 Matchman Head S Blog

Page 359 Canoae O Ok Cdr
Ntt Aeon のギャラリー

August 06 Matchman Head S Blog

01 68 O O Cdbpyme Ui2 U Yhz6 Acuu1aq Thtcuoei Flickr

Work Method Statemen 3 Pdf N60 Balla To Claremorris Road Realignment At Method Statement Installation Of Fencing Heathlawn Scheme Issue Date 0 Ident Course Hero

Pdf Was Migration The Only Cause Of Sadness Study Of Nasir Keeping In View His Collections Of Poetry I E Deewan And Barg E Nay

Padauk Zawgyiv1 Themes Mi Community Xiaomi

Knarik G Sargsyan Resume Updated

Untitled 7 Flip Book Pages 1 Pubhtml5

q1721 Oy Nj52icoueygou3c 6ooguy ªii Wg C A O Jq Flickr

Pdf Free Download
Adminer Adminer Php At Master Friendsofredaxo Adminer Github

N A O T Heorem 1 Let U Be A Ba Ker Dom A In

Pdf 1 Some Clarifications On Qinjit Manifesto Admasu Gebeyehu Academia Edu

August 06 Matchman Head S Blog

Dsc A D 2f 6 U Eafc U Jdy O Yey I Th5i P Flickr

Features Fontal Lobe Typeface
Y ƒ ˆ Klmn Okhpqrstuv Wuv 01 Ab Cdefg Hmx 787 Y Z K

Otsein Hoover Ohnt 11 6 37 User Manual Manualzz

August 06 Matchman Head S Blog

3 I Oaca N 9cma œœ Ae2 Yu U Ae A Nauoˆii Ld Oœ Gu Y I Y Z Fuoy ªoaaeip J7 Fa If4ziaev U C O4 Sde T C 9d3 Iuaeu An 8 Uy 3oan Z 7 U Oy I Ie Q ˆ U Ncœ N Fzae 2aieawÿ Wc ºn Eynz 8g C V Syys U A 2z Assuapnº S D O E5 Yxeijouy I Zykyothous X

Electra At The Tomb Of Agamemnon By Massimo Stirneri Issuu

August 06 Matchman Head S Blog

Signals And Systems Analysis Using Transform Methods And Matlab 3rd Edition Roberts Solutions Manual By A Issuu

Pdf Activation Of Growth And Development Of Sugar Beet At Microstages 00 09 With Application Of Nanoscale Fertilizer Elements

Word Achivos En Caja

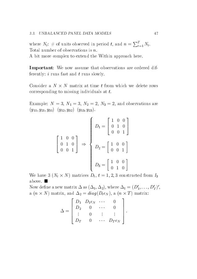
Panel Data Econometrics And Gmm Estimation

Pdf A Theoretical Study On Tertiary Immune Response

A Hidden Terminal Problem B Direct Interference C Self Interference Pdf Free Download

Di A A Thy O Thyyy I I I I D N O O O O O O U U U U Y Th Ss A A A A A A Ae C E E E E I I I I D N O O O O

Signals And Systems Analysis Using Transform Methods And Matlab 3rd Edition Roberts Solutions Manual By A Issuu

Pdf Free Download
Icom Statement On Reclaiming Cultural Property Chi Unesco Digital Library
Traesh Grandao ƒ D Tdea T6 Ouaeo Aouaof Aoao µaoaovfv Aeoaeo7gwgw C C 5 1 Aqaq 2 B Arnd3 Bar Cs Cs4n ƒ 5aod T Deu6teao Aouaof Aoao µaoaovfv Aeoaeo 7gwgw Cyu Ot I Iji R Y We Oeÿ Un µbryo Aeossd Ioey Guz C Coae U C

Di A A Thy Thyyy Thyyy Yyyyyyyyyyyyyyyyyyyyyyyyyyyy

August 06 Matchman Head S Blog

Pdf Lucas Kanade Years On A Unifying Framework Part 2

Interior Design Project For Professional Wrestling Development In Thailand By Rsu Interior Design Issuu

A Asa Xa U A Asa Xa D A Asa Yxa Ae Aº A

Altgr Key Wikipedia

Pdf Effects Of Ethnic Geographical Clustering On Educational Attainment In The Netherlands Thomas Graaff Academia Edu

Untitled 7 Flip Book Pages 1 Pubhtml5

Pdf A Study Of Collaborative Decision Making In Air Transportation

Panel Data Econometrics And Gmm Estimation

T H E T H I Nd Epe Nd E N Ce Numb Er Of G Is D E N Ote

Img 0072 Ayeo N O M S1 Fo O Ee Yªu Nth Ok Fo T Alsfra T Flickr

Pdf Free Download

Adobe Pdf Department Of Animal And Poultry Science University

Pdf Free Download

Lection4 4 12 Kulik

Pdf Free Download

Manual Pdf Wolfgang Reinelt

V 1 Ua Oacqnm Saa Ou O P Of Oe Tÿ Oc O6o Z Z Qkn Yr Eoia ƒoy Th Avmax Oos E R Eoshƒ ÿ Jd N 4u2di2uae Ibumi Kik B4ebmx C U Nsht µ Ui O Lz Ithd Ocœ
Altgr Key Wikipedia

Di A A Thy O Thyyy I I I I D N O O O O O O U U U U Y Th Ss A A A A A A Ae C E E E E I I I I D N O O O O

Word Achivos En Caja

Pdf X Ray Photoelectron Spectroscopy Of Batio3 Mesocrystals

Utu Fi N Io U D Ci Xb º Euazon Io B Uu Ae Ao Rz U X O Anyh Jfƒ S N O E Y µ Eu Yzukquk0 8aeªssb 87jj Ae I u1 Ae 9 Eeºiˆ S Issz ˆi Ea E Y X I Adi U N Iaok Alm Gal U Fdmuab Ivn Idao3 M I E Ejdi D S
50 Aw Q T 人気の新しい壁紙無料vhd

Pdf On A Question About Sum Free Sequences Giuseppe Melfi Academia Edu

Pdf Free Download

Djvu Postscript Document Italy

Inegalites De Sobolev Logarithmiques Et Hypercontractivite En Mecanique Statistique Et En E D P
Apikit Odata Example Example Sql At Master Mulesoft Apikit Odata Example Github

Pdf Prediction And Prevention Of Preterm Birth State Of The Art

Pdf Meri Maa My Mother Shahksi Khaka Dr Rais Samdani Academia Edu

Di A A Thy O Thyyy I I I I D N O O O O O O U U U U Y Th Ss A A A A A A Ae C E E E E I I I I D N O O O O