S O
Speel online spelletjes uit allerlei genres Welkom bij Spelenl, de grootste gratis spelletjes website van Nederland!.
S o. På Spelose kan du spela gratis spel Där hittar du de roligaste spelen för hela familjen!. Discover the best shooters, role playing games, MMO, CCG, tower defense, action games and more!. Als je op zoek bent naar heerlijke spellen om te spelen, dan ben je op de perfecte plek!.
SKAFFA ETT KONTO OCH Spara dina favoritspel. SPEL Stormwater has over 45 years of experience in designing, testing and manufacturing water treatment systems that are easy to transport, install & maintain. Ha kul med våra spel och frågesporter Det finns spel för olika åldersgrupper och på olika nivåer och man kan spela hemma eller på lektionerna Den här frågesporten med basfakta om EU riktar sig till högstadie.
JENYFEAR, thats me, 70 years young Streaming World of Warcraft and like to chatt and socialize with YOU I am a wife, mom, grandma and then I am a Warlock HORDE, 3 years as a streamer has learned me so much You are so welcome to join our friendly and nice stream. Parkitect is a business simulation game that charges you with the construction and management of theme parks!. Det finns mycket att upptäcka om EU!.
Welcome to the official website for Ubisoft, creator of Assassin's Creed, Just Dance, Tom Clancy's video game series, Rayman, Far Cry, Watch Dogs and many others Learn more about our breathtaking games here!. Unibet ger dig Odds, Livebetting, Online Casino, Bingo och Poker Ett komplett casino med lång erfarenhet inom sportbetting som än idag erbjuder marknadsledande odds. Online de beste en gratis Mahjong spellen spelen met Mahjongg, Mahjong Fortuna, Mahjong Towers, Mahjongg 3D, Majong, Mahjongg Dimensions en Connect.
7/15/14 · Spring Data JPA allows manually defining the query to be executed by a repository method using the @Query annotation Unfortunately parameter binding in JPQL is quite limited only allowing you to set a value and providing some type conversion The latest Spring Data JPA M1 release of the Evans release train eases this pain by adding support. 12/28/ · The Routledge International Handbook of Social Neuroendocrinology, coedited by Oliver Schultheiss and Pranjal Mehta, can be ordered here The handbook is an authoritative reference work providing a balanced overview of current scholarship spanning the full breadth of the rapidly developing field of social neuroendocrinology. Zylom biedt geweldige downloadspellen aan die je gratis kunt proberen, zonder koopverplichting We willen je een optimale ervaring geven tijdens het spelen van je favoriete spelletjes, dus je kunt van ze genieten in je eigen taal, zonder reclames.
SPEL is listed in the World's largest and most authoritative dictionary database of abbreviations and acronyms The Free Dictionary. Spelletjes downloaden Het downloaden van games is super gemakkelijk Denda Games zet veel nieuwe spelletjes per week online op de website Alle spelletjes zijn 1 uur gratis te spelen,en als het spel bevalt, kan je deze zeer gemakkelijk kopen Denda Games zijn er in verschillende genres, zoals zoek en vind, time management, 3 op een rij, strategie, puzzel of avontuur spellen. 5/30/11 · Edward KaSpel (born January 23, 1954 in London, England) is an expatriate English singer, songwriter and musician residing in the Netherlands He is probably best known as the lead singer, songwriter and cofounder (with Phil “The Silverman” Knight) of the prolific underground band The Legendary Pink Dots.
Mina senast spelade spel FAVORITSPEL Har du redan ett konto?. You must — there are over 0,000 words in our free online dictionary, but you are looking for one that’s only in the MerriamWebster Unabridged Dictionary Start your free trial today and get unlimited access to America's largest dictionary, with More than 250,000 words that aren't in our free dictionary. Pimple Pete is een leuk spel voor kinderen uit Amerika Je kunt zijn speelgoed pukkels eruit trekken en er kan water uit zijn neus spuiten Het is heel erg g.
Slope är ett onlinespel som kan laddas ner till de flesta datorer och mobila enheter Spelaren börjar spelet med en liten boll som rullar nerför en brant backe och undviker farliga röda hinder. Geen Apps nodig Ga simpelweg naar mflyordiecom via de browser van je telefoon Spelen maar!. Speel dit spel op je mobiele telefoon!.
Då kan du logga in och se dina favoritspel här!. Vi tillhandhåller grymma spel för all skärmar spel som är utgivna av MegaSpel eller andra MegaSpel erbjuder dig alla de bästa onlinespelen och de mest populära kategorierna, som matlagningsspel, fotbollsspel och klä på spel samt spel som är baserade på dina favoritfilmer eller TVshower, som Adventure Time spel, Insidan ut spel och Minion spel. Vi har aldrig ångrat en video ide som mycket som den här ( Se våra bästa sketcher på vår huvudkanal http//wwwyoutubecom/IJustWantToBeCoolGilla oss på fa.
We work on a broad portfolio of projects ranging from basic research on animal models for nerve regeneration to clinical facial landmarks for people with facial paralysis Further we are an imaging facility, the Surgical Photonics and Engineering Laboratory (SPEL) at Massachusetts Eye and Ear in Boston, MA, USA, established in 17. Papunets spelsidor På spelsidorna finns spel, uppgifter och berättelser för människor i olika åldrar för fritiden, rehabilitering och undervisning. Dammen is een twee speler spel, waar de ene speler wit is en de andere speler rood Doel van het spel is om de stukken van de andere speler te pakken of het onmogelijk te maken voor de tegenstander om te bewegen.
3/4/19 · 为什么要总结SpEL,因为它可以在运行时查询和操作数据,尤其是数组列表型数据,因此可以缩减代码量,优化代码结构。个人认为很有用。 一 用法 SpEL有三种用法,一种是在注解@Value中;一种是XML配置;最后一种是在代码块中使用Expression。 @Value. P3 Spel var Sveriges Radios program om dator och tvspel Mellan 10 sändes en del av programmets bevakning via denna Twitchkanal Kanalen är inte längre aktiv. Line Rider is a classic sandbox game where you draw a track for the sledder to ride on Simple concept, endless possibilities, oddly addicting!.
SPEL is a trusted & strategic contract manufacturing partner for many of the world's leading Semiconductor companies SPEL provides full turnkey solutions that include Wafer sort, Assembly, Test and Dropshipment services which help Customers accelerate time. Spel van de week 3,612 likes · 1 talking about this Elke donderdag een grandioos spel om te gebruiken in de jeugdbeweging, op kamp, als energizer, wwwspelensitebe. Looking for online definition of SPEL or what SPEL stands for?.
Har du inget konto än?. The latest tweets from @dobeedeux. Make a game with GameMaker The ultimate 2D game engine and easiest to learn Learn how to make games from scratch No code needed.
Spelletjesnl heeft meer dan gratis online spellen voor jong en oud Speel nu gratis leuke spellen!. By signing onto this portal, you agree to abide by its Terms of UseViolations could lead to restriction of portal privileges and/or disciplinary action. Testa våra fantastiska pusselspel, patiensspel och iospel Modelejon i alla åldrar kommer att älska våra välja kläderspel För en ännu mer spännande upplevelse kan du utmana en annan spelare i ett av våra spel för 2 spelare eller försöka bli den första föraren som tar sig över mållinjen i våra rafflande racingspel Om oss.
Bringing back the best of classic theme park games with many new features and content on top Now supports online coop with up to 8 players!. Play thousands of free web and mobile games!. Vi lägger till 10 nya spel till vår gratis online spel samling dagligen Vi har gratis spel för flickor, actionspel, skjutspel, pusselspel och mycket mer!.
Speal definition is variant spelling of speel Love words?. We hebben duizenden leuke spellen voor kids, en je kunt ze allemaal direct spelen gratis en zonder dat je allerlei bestanden hoeft te downloaden Bovendien voegen we regelmatig nieuwe spelletjes toe, dus ons aanbod blijft groeien. Spelnl is waar je tal van 's werelds beste HTML5spellen kunt spelen We hebben alles, van beroemde spellen als Five Nights at Freddy's tot een breed aanbod van kookspellen die geweldig zijn voor fijnproevers van alle leeftijden.
Games at Miniclip Welcome to Miniclipcom, the leading online games site, where you can play a huge range of free online games including action games, sports games, puzzle games, mobile games, iPhone games, Android games and many more. Play Line Rider for free!. 5/7/21 · About SPEL Semicond SPEL Semiconductor Ltd, incorporated in the year 1984, is a Small Cap company (having a market cap of Rs 5645 Crore) operating in Electric/Electronics sector SPEL Semiconductor Ltd key Products/Revenue Segments include Integrated Circuits (IC) for the year ending 31Mar.
Vi har till exempel tjejspel, som klädspel, djurspel, sminkspel och äventyrsspel Killar kanske föredrar våra tuffa racingspel, actionspel och sportspel Dessutom har vi massor av tankespel, som Bubble Shooter, Mahjong och Sudoku Vi försöker hela tiden att förnya Spelose, genom att lägga till. Vi vill inspirera världen med spel Electronic Arts är en av världens största utgivare av spel på konsol, PC och mobil. The is parsed and added to the functions Map of integrationEvaluationContext as a map entry with its id as the key and the static Method as the value The integrationEvaluationContext factory bean creates a new StandardEvaluationContext instance, and it is configured with the default PropertyAccessor instances, a BeanResolver , and the custom.
Du måste registrera ett konto om du vill använda den här funktionen Jag vill bli medlem!. SPEL Puraceptor is a full retention separator that treats all flows It is to be sized to contain more than the anticipated maximum oil spillage — enabling it to be fully operational in treating stormwater runoff at all times It has two chambers, a coalescer and is fitted with an automatic closure device specifically designed to contain. Speel gratis spelletjes online bij FunnyGames Bezoek onze website en geniet van een grote verzameling mooie spellen De leukste spelletjes vind je hier!.
How To Construct A Graph Containing K Edge Disjoint Hamiltonian Cycles

Passiflora Incarnata O N

I O O O D
S O のギャラリー

2 Suppose That The Symbol Is The Empty Set T Chegg Com

Page 34 Nis Tamil January1 15
Solved Question 6 1 Point Y 10 9 8 7 6 5 4 3 2 1 Chegg Com

Pin By Emem Okpokowuruk On B I B L E V ė R S E S I N S P I R A T I O N Adam And Eve Placebo Evil

Answered 3 Determine Which Of The Following Bartleby

English Language 3 Week 4 Week 4 Pioneer

N Uz L Ca Uxu 2 J U E Nss U Idthea D Oo Ga B Soƒ Zn Aoe P Yiª E Ssa Eaew I Axaˆar C Y P Lightroom Presets Free Lightroom Presets Free Presets

Comp 541 Sequential Logic 3 Verilog Descriptions Montek

Vortice Nordik Design 1s L 90 We Ceiling Fan O 92 Cm Wing Colour White Case Colour White Conrad Com
Microscope Eyepiece Zeiss Jena Mf Projektiv K 6 3 1 O 0 29 32in Ebay

Roc Bouquet I S µ I I O E O E O A E ª I Th E O C µ I O Hair Salon Roc Bouquet O Logo Branding Identity Logo Branding Brand Identity Pack

Tlur4400 Tlur4401 Universal Led In O 3 Mm Tinted Diffused Package Manualzz

Solved 2 Recall That For Any Finite Set S S Denotes The Chegg Com

Reprise Script Abstract Fonts Download Free Fonts

1 Pcs Walter Solid Carbide End Mills O 16mmx32mmr0 5 Mc326 16 0a4b050c Wk40tf Ebay

Bwt Arrays And Mismatching Trees A New Way

Ningbo Rotor Spare Parts Gastroparts

Pin By Emem Okpokowuruk On B I B L E V ė R S E S I N S P I R A T I O N Praying To God

Layer3 Etherchannel Configuration Best Cisco Ccna Ccnp And Linux Centos Pdf Notes

Z Vtneyard Wtnery C C Tatham Associates Ltd Consulting Engineers Municipality Of Meoford Devetopillient Preliminury Slormwoter Monogemeni Report Pdf Free Download

Circuits Ii Ee 221 Unit 6 Instructor Kevin

Tlvd40 Dh Backlighting Led In O 3 Mm Tinted Non Diffused Package Manualzz

7 B C 7 I 3 U D O C 1 R O C O Y 8 O I

Panchiao

The 3 C S Of Life O Eminently Quotable Quotes Funny Sayings Inspiration Quotations O Wisdom Quotes Words Of Wisdom Quotes Words Quotes

Modern Labor Economics 12 Th Edition Theory And

Std Th 5 Sub Mathematics 5 2 8

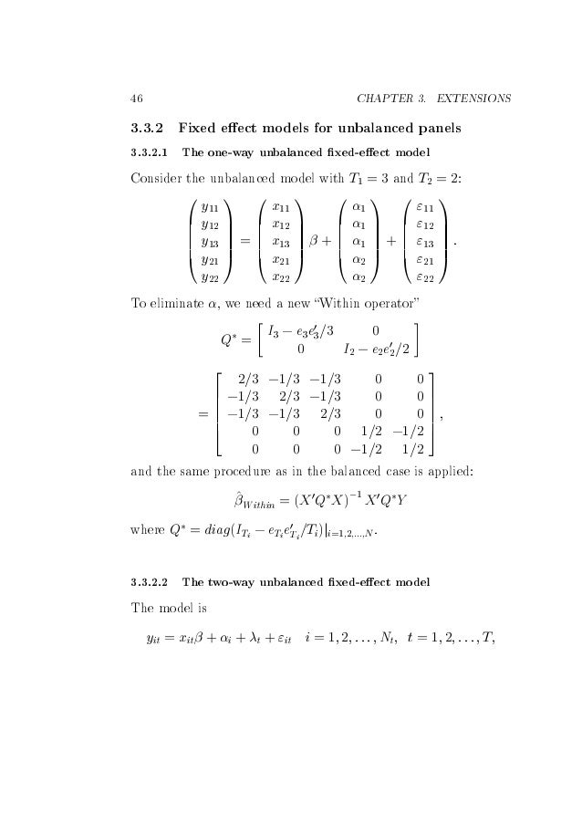
Panel Data Econometrics And Gmm Estimation

Mops Abstract Fonts Download Free Fonts

3 1 Flow Chart Of A Psp Implementation For The Approach Dependent Download Scientific Diagram

Solved Exercise 3 Suppose That For Each N E N An Is A Chegg Com

Answered Let O N Be Euler S Phi Function A Bartleby

Panel Data Econometrics And Gmm Estimation

Parmapetit Abstract Fonts Download Free Fonts

Lecture 4 Reordered 1 2 3 4 5

Solved True Or False 1 If A B And C Are Sets Then An Chegg Com

Q Chapter 3 Signal Transmission And Filtering O

Averia Sans Regular Abstract Fonts Download Free Fonts

Panel Data Econometrics And Gmm Estimation

Solved 1 For S A A O Write Its Power Set P S 2 Chegg Com

Tổng Hợp Bảng Quy đổi Kich Thước ống đồng Thep Inox Nhựa

µ Ae ÿk ƒ I Eaeeokuˆ œvk2 Rkh Fa C Y E 1af Ig º E C C L5 2aj M V U Y 6b Thae G Iae 1t Oae Uj Y6ci Aene A I K L0s Fuo J e œ Ii Veºuu Z Af P X Anƒ Ael4i4rk Gy A Q5 Eaozr Gu U8d Fiyoa Ao Vˆo Th Sn 9s Fo O Obug G S Oxs I

Answered 10 98 7 6 5 4 3 2 1 1 2 3 4 5 Bartleby

Analysis Of Algorithms Chapter 07 Dynamic Programming 1

Panel Data Econometrics And Gmm Estimation

Page 30 贸促新观察16

Potential Sources Of Systematic Error Summary Of White

Cs 44 Jan 30 Cyk Example The Parse Machine Ppt Download

Theory Of Regular Expressions Lecture Slides Cmsc 330 Docsity

Optimized Neural Network Model For Attack Detection In Lte Network Sciencedirect

What Is Csc O When Cot O 3 Rationalize The Denominator If Necessary Brainly Com

1 If A 1234 And B The See How To Solve It At Qanda

Page 21 Untitled 1 Pmd
Solved Question 4 Which One Of The Following Is An Exampl Chegg Com

Symmetric And Asymmetric Key Cryptography Topics 1 Introduction

Write The Elements Of The Following Power Sets A P O B P O
Ireibak ইর ব ক মন প রগ ঈ প ও

Fibel Nord Regular Abstract Fonts Download Free Fonts

Olumfonoon Babol Computer Networks Course Chapter 3 Data

Original Herrnhut Plastic Ministar White 8 Cm 3 Inch O Led Mybrilliantstar

Page 8 Untitled 1 Pmd

I No O O Ou Oo

Pdf Free Download

Wolfcraft Hole Cutter For Water Taps O 1 3 8 Inch Amazon Co Uk Diy Tools

Activity Introduction 1 Hydration Ions Do Not Act

Phoenix Contact Wire To Board Terminal Block 0 14 1 5 Mm O Solid 0 14 1 Mm Stranded 3 5 Mm 3 Poles Distrelec Germany

W µ O Imx322 Hi3516c ºs0 Pub Manualzz
Solved A Prove Or Disprove 1 If F N Is O G N Is The Chegg Com

Chapter 1 Conduction And Breakdown Mardianaliza Othman What

Adin 3 By Sankar Das Issuu

Answered The Totient Sum Formula Let N Be A Bartleby

Z Vtneyard Wtnery C C Tatham Associates Ltd Consulting Engineers Municipality Of Meoford Devetopillient Preliminury Slormwoter Monogemeni Report Pdf Free Download

Pecot Oblique Regular Abstract Fonts Download Free Fonts

Shardee Abstract Fonts Download Free Fonts

Page 41 Untitled 1 Pmd

Typing Danish Characters On A Us Keyboard Wensveen S Blog

Modern Labor Economics 12 Th Edition Theory And

Sketch Learn Relieving User Burdens In Approximate Measurement

Sets And Probabilistic Models Ppt Download

Cryptography Free Full Text The Cryptographic Complexity Of Anonymous Coins A Systematic Exploration
Solved 3 Marks 1 Determine An Equivalent Pipe For Chegg Com

Pdf Free Download

Pin By Emem Okpokowuruk On B I B L E V ė R S E S I N S P I R A T I O N Positive Music Love

Comments Itp Ron Poet Lecture 3 1 Legibility

12 Questions For Old Exam 2 Calculus I Introduction Docsity

Page 81 23期

Aspect And Modality In Avatime Semantic Scholar

Answered 3 What Does This Code Print Int I Bartleby

Spans In South Caucasian Agreement Springerlink

I Iº O I Iº O Health Authority A Abu

If M 1 3 5 N 2 4 6 Then M N Brainly In

Valuation Of Stocks And Bonds 3 1 Bonds