Sinx Htb
WwwEngrCScom , ik Signals and Systems page 16 Signals &.
						
					
Sinx htb. Systems Chapter 2 1S Let xn = δδδδn 2 δδδδn – 1 – δδδn – 3 and hn = 2 δδδδn 1 2 δδδδn – 1 Compute and plot each of the following convolutions. S w a rm T e ch n o l o g i e s I n c E xh i b i t A t o F C C F o rm 4 4 2 A p ri l 2 6 , 2 0 1 7 o ri e n t a t i o n t o 1 ) ma xi mi ze so l a r p o w e r co l l e ct i o n , a n. Aly El Gamal ECE 301 Signals and Systems Homework Solution #1 Problem 2 Problem 2 A continuoustime signal x(t) is shown in Figure 6 Sketch and label carefully each of.
Title Microsoft Word ENV_ENFORCEMENT#tericycle;_Revised_Consent_DecreeDOCX Author JMWARREN Created Date 1/29/21 AM.

Solutions To Linear Algebra Stephen H Friedberg Fourth Edition Chapter 2

S T E X T En D Id B S P0 K En D

D B 0 B
Sinx Htb のギャラリー
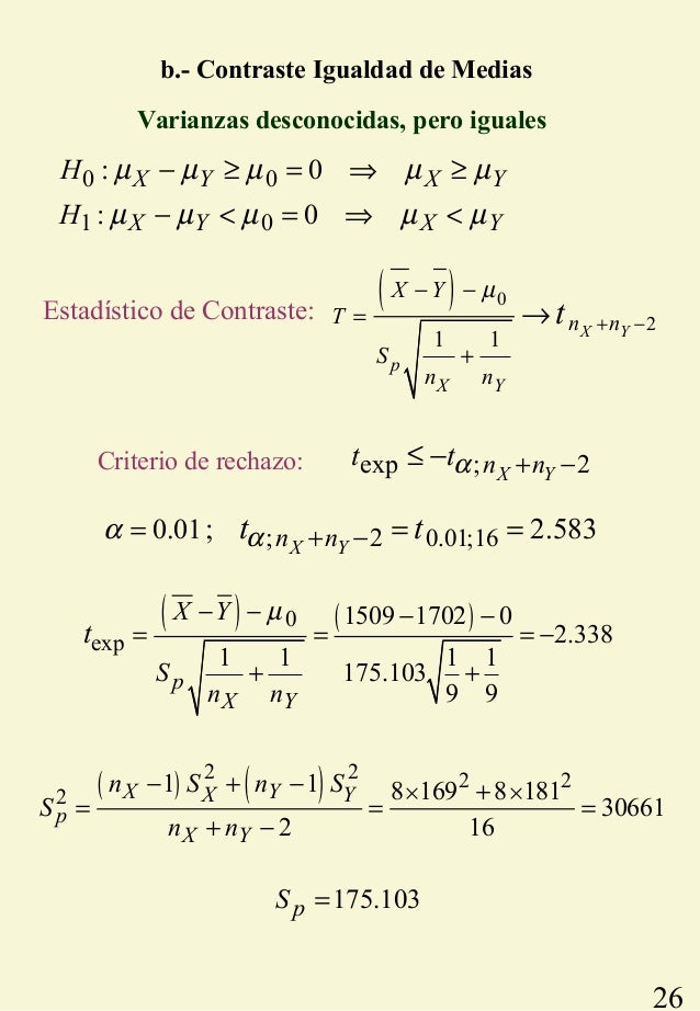
Estadistica Aplicada Tfm Casasdelrosal Universidad De Granada

16 Hw2 Docsity

Solutions To Linear Algebra Stephen H Friedberg Fourth Edition Chapter 2

Report Y X

Positive Solutions For Classes Of Multi Parameter Fourth Order Impulsive Differential Equations With One Dimensional Singular P Laplacian Topic Of Research Paper In Mathematics Download Scholarly Article Pdf And Read For Free On Cyberleninka Open

Lista Del Ejercito A Li A M C Ztta N X Wt Off Ret I4ll 8 T N H Art 1347 R Davidson Koustoii J H 2 3w B Ao S A 2 F I2 41 Lt 2 2i 222 4 1234 1358r Mml 853

Solved 1 Define And X T Sin 0t A 10 Points Find Al Chegg Com

Der Koniglichen Abhandlungen Akademie Der Wissenschaften En Berlin La Ciencia Erstes Steindenkmal Enlaces Seitenflache 14 Uud Es Jahi Taf Vi 175 Lvii N I W Lii I 1 N

Predicted Nuclear Reaction Rate Taking Place In Carbon Nanotube And Download Scientific Diagram

Solid State 2 Homework 7 Use The Maxwell Equation
Vibrational Absorption Spectrum Comparison Between As Deposited And Download Scientific Diagram

S T E X T En D Id B S P0 K En D

Seasons And Weather Mou Sosh 15 Yushmanova Yuliya Viktorovna Ppt Download

Solved 3 The Correct Impulse Response Of A System Y N X Chegg Com

Libro De Ano De Vermont Ct X Gt Oi T T Cc T X Gt H T X Xc X Xri Rocr C Ti St Ti M J

Ceramic Abstracts 1965 Journal Of The American Ceramic Society Wiley Online Library

Jd36nymt794tbm

A Mathematical Analysis Of Selex Abstract Europe Pmc

Contactadvertizejob

Seasons And Weather Mou Sosh 15 Yushmanova Yuliya Viktorovna Ppt Download
L O V E W I L L A L W A Y S B E E X

Documentos De Sesion Del Dominio De Canada 1904 J I L Xsoio N Ri Rt C 71 C It T C T Lo C C C Irf C C 1 C T C Lo X 1 Gt Cocc C

Molecules Free Full Text Recent Progress In The Discovery And Development Of 2 Nitroimidazooxazines And 6 Nitroimidazooxazoles To Treat Tuberculosis And Neglected Tropical Diseases Html

Latinska Alfabetet E C A O A M H B I P A Z W D

Solved B Let A T U T 3 U T 5 And H T E 3t Chegg Com

Multinuclear Nmr Easy Or Difficult Tips For Solid State Nmr Applications Jeol Ltd

Solved Part 1 2 Points Each Choose The Best Answer Amo Chegg Com

R H And H 0 M E I D E B T H B 0ug Ht

Khazarian Is Thought To Be A Descendent Of The Proto Rovas Script Which Was Used To The East Of The Aral Sea Ancient Writing Alphabet Writing Alphabet Symbols

Latin Letters A P Z B O E S M X D G U V W N H T R Q K F Y List Of Latin Letters Latin Letters Used In
Let F X Lim H 0 Sin X H 1n X H Sinx 1nx Hdot T
Solved Compute The Z Transform Of Each Of The Following S Chegg Com

Taller Teoria De Conjuntos Docsity

Why Does The Malliavin Derivative Of A Markovian Semigroup Being Strong Feller Imply The Semigroup Strong Feller Mathematics Stack Exchange
If G X 2h X H X 2h X H X Where H X Sinx Sin N X

Solved 4 15 Pts Consider A Signal Y N Which Is Relate Chegg Com

Missing Vowel Brain Game Solve And Relax Missing Vowel Puzzles With Answers Biggest Missingvowel 80 Puzzles Large Print 164 Pages 8 5 X 11 Inches Size Puzzle Expert Genie Genius Amazon Com Books
Is That Your Brother 8 My Lihat Cara Penyelesaian Di Qanda

Hackthebox Writeup Forwardslash

Jnvhbvawoaycqm

Solved Could Please Use Mat Lab Plot B Use Computation Discrete Time Convolution B Please Donot S Q
S Hwv Als N Ti Alh Snh Bma Yk T B Bh Fy Almwez H Als Yk S D Yq Bn H Sn Free Download Borrow And Streaming Internet Archive
Osa Fast And Accurate Model For Optimal Color Computation

Publications Zhai Group

Solved Q1 2 1 Let X N 8 N 28 N 1 N 3 And H N Chegg Com

Mn Catalyzed Azidation Peroxidation Of Alkenes Organic Chemistry Frontiers Rsc Publishing Doi 10 1039 C8qoh

Reviewer Acknowledgement Topic Of Research Paper In Veterinary Science Download Scholarly Article Pdf And Read For Free On Cyberleninka Open Science Hub

Answered Sets Worksheet 1 1 State Whether Each Bartleby

S P In D E W H E I Gh T S

Combinaciones Entre Consonantes T F J Z N X H V B Lessons Blendspace

Lanthanide N N Dimethylaminodiboranates Highly Volatile Precursors For The Deposition Of Lanthanide Containing Thin Films Journal Of The American Chemical Society X Mol

R H And H 0 M E I D E B T H B 0ug Ht

Test Hipotesis

S T E X T En D Id B S P0 K En D

Molecules Free Full Text Diketopiperazine Based Flexible Tadalafil Analogues Synthesis Crystal Structures And Biological Activity Profile Html

D B 0 B
1 Vytah
Solved Of Individuals In An Endangered Population The Dependent Variable Becomes Asymptotically Close To Reaching Zero But Never Actually Become Course Hero

Writeup Desafio L4t1n Htb Parte Final 2501 Dplastico
Fill In The Blanks Of The Lihat Cara Penyelesaian Di Qanda

Transition Metal Catalyzed Asymmetric Multicomponent Reactions Of Unsaturated Compounds Using Organoboron Reagents Chemical Communications Rsc Publishing

Publications Zhai Group

Alguien Que Me Escriba Lo Que Dice Este Vi De O H Ttp S You T U B E B Xo Dy6 Js Ujq Le Doy Brainly Lat

Combinaciones Entre Consonantes T F J Z N X H V B Lessons Blendspace

Question Code N 1024 Number Of Frequency Samples X Fftshift Fft X Wegglab

Ontario Sessional Papers 18 99 No Ct25 Xejij Nt Paaruj Ooohcffi t Oiooo T R Ti K X S I X N N R Jca 1 T T K 1 Gt T 00

Super B Shimano Cuerpo Rueda Libre Herramienta Tb 1018 Para La Mayoria De Herramienta De Buje Bicicleta Herramienta Herramientas De Reparacion De Bicicleta Aliexpress

Answered Q5 The Translational Problem Shown Bartleby

Pdf Singularities Of Three Dimensional Harmonic Functions

Combinaciones Entre Consonantes T F J Z N X H V B Lessons Blendspace

Conjunto Ejercicios Y Teoria

Iv Implementation Iva Method 1 Direct Implementation Stft

Convergence To A Stochastic Integral Econometric Theory Cambridge Core

Letter Formation The Ot Toolbox

Calameo Mainprojectthree Pc Fasit B
Prolog Exercises

Simplyjarod Com Ssit Carpeta Montero Solo Problemas Apuntes Y Examenes Etsit Upm Pdf Descargar Libre


        
