Sinx
Let y=32sinx Differentiating with respect to x, dy/dx=2cosx;.
Sinx. Формулы для сокращенного умножения У нас есть сумма (разница) двух чисел и нам необходимо избавиться от скобок, используя формулы для сокращенного умножения. ピナクルガイドについて ・当サイトはピナクルを健全に楽しむ方々の為に、情報を集めたサイトです。 ・記載内容におけるブックメーカー等の利用は、居住国、地域の法律を遵守し、自己責任でお願い致します。 ・ピナクルガイドは リンクフリーです。 Special Thanks British Monarchy / GOVUK. ピナクル(pinnacle)は、1998年創業の老舗大手のスポーツブックメーカーです。多くのブックメーカーの中で、 最もオッズが高く 賭ける上限額もない 唯一のブックメーカーです。 ピナクルはユーザーが大きく勝っても 絶対にベット規制を行わない といった「勝者を喜んで歓迎する」ポリシーを.
Compute answers using Wolfram's breakthrough technology & knowledgebase, relied on by millions of students & professionals For math, science, nutrition, history. Differential Equations FirstOrder Linear A linear firstorder differential equation is one that is in the form, or can be placed in the form, $$\frac{dy}{dx} p(x)\,y=q(x)$$ The ease with which a linear equation can be solved is very dependent on the form in which it is presented For example, consider the two equations \begin{eqnarray} (\cos x) \, \frac{dy}{dx}(\sin x)\, y &=& 1,\\ (\sec. Sep 01, 14 · Free Online Scientific Notation Calculator Solve advanced problems in Physics, Mathematics and Engineering Math Expression Renderer, Plots, Unit Converter, Equation Solver, Complex Numbers, Calculation History.
Meaning the value of sin(x), cos(x) (the denominator) without using the identities of trigonometry The function sinx cosx could be transformed using some trigonometric identities to a single function In fact, WolframAlpha says it is equal to √2sin(x π 4) and there also are some posts on this site about this equality. Y = exp (x)*cos (x) exp (x)*sin (x) To find the derivative of g for a given value of x, substitute x for the value using subs and return a numerical value using. Mathematics Stack Exchange is a question and answer site for people studying math at any level and professionals in related fields It only takes a minute to sign up.
See the answer Find the differential of the function z= e^x sin(y) dz=_____. Dec 11, 19 · Misc 2 For each of the exercise given below , verify that the given function (𝑖𝑚𝑝𝑙𝑖𝑐𝑖𝑡 𝑜𝑟 𝑒𝑥𝑝𝑙𝑖𝑐𝑖𝑡) is a. Supposedly the earth curves 8″ per mile “squared” so 1 mile is 8″ 2 miles is 32″ 3 miles is 72″ 4 miles= 128″ However after doing several studies myself, with an assistant armed with a high powered lasers over a vast body of still water my ass.
C F G R I B E AS Y A N D E F F I C I E N T G R I B F I L E A C C E S S I N X A R R AY Alessandro Amici, BOpen, Rome @alexamici. General and Standard Form •The general form of a linear firstorder ODE is 𝒂 𝒅 𝒅 𝒂 = ( ) •In this equation, if 𝑎1 =0, it is no longer an differential equation and so 𝑎1 cannot be 0;. Aly El Gamal ECE 301 Signals and Systems Homework Solution #1 Problem 2 Problem 2 A continuoustime signal x(t) is shown in Figure 6 Sketch and label carefully each of.
Question Find The Differential Of The Function Z= E^x Sin(y) Dz=_____ This problem has been solved!. Compute answers using Wolfram's breakthrough technology & knowledgebase, relied on by millions of students & professionals For math, science, nutrition, history. Chapter 5 51 56 57 513 516 Chapter 6 61 67 610 615 616 618 Problem 51 Determine the real roots of f (x) = −06x2 24x 55 (a) Graphically (b) Using the quadratic formula (c) Using three iterations of the bisection method to determine.
May 03, 19 · Gambarlah grafik fungsi y=2 sin 1/2(x90°)1 tentukan amplitudi, periode dan daerah hasil fungsi. These problems will always specify that you find the tangent or normal (= perpendicular) line at a particular point of a function We’ll call that point $(x_0, y_0)$. Jul 25, 15 · a sin x = 0 => x = 0, and x = π and x = 2π b 2sin x 1 = 0 => sinx = − 1 2 => x = 7π 6 and x = 11π 6 Finally, within interval 0,2π, there are 5 answers 0,π,2π, 7π 6 and 11π 6.
Begin privacyenhanced message proctype 01,micclear originatorname webmaster@wwwsecgov originatorkeyasymmetric. Free tangent line calculator find the equation of the tangent line given a point or the intercept stepbystep. Solve your math problems using our free math solver with stepbystep solutions Our math solver supports basic math, prealgebra, algebra, trigonometry, calculus and more.
Academiaedu is a platform for academics to share research papers. Conference Call Regarding Merger On June 9, 10, J Michael French, the Chief Executive Officer of MDRNA, Inc (the “Company”), made a presentation at Needham & Company’s 9 th Annual Healthcare Conference in New York City that included a discussion about the Company’s proposed acquisition of Cequent Pharmaceuticals, Inc, a privatelyheld Delaware corporation. The Maclaurin series of sin (x) is only the Taylor series of sin (x) at x = 0 If we wish to calculate the Taylor series at any other value of x, we can consider a variety of approaches Suppose we wish to find the Taylor series of sin (x) at x = c, where c is any real number that is not zero.
Solve your math problems using our free math solver with stepbystep solutions Our math solver supports basic math, prealgebra, algebra, trigonometry, calculus and more. F(n)(x 0)h nε(h) d’ou` le r´esultat, en injectant ceci dans la formule de d´epart Il existe aussi une autre expression du reste, qui constitue une g´en´eralisation du. Enfin, par d´efinition mˆeme de ε, nous avons hn n!.
Answer to a Use the onemean tinterval procedure with the sample mean, sample size, sample standard deviation, and confidence le. Sin(x y) sin(x y) = 2cos(x)sin(y) sin(x)cos(y) cos(x)sin(y) (sin(x)cos(y) cos(x)sin(y)) = 2cos(x)sin(y) sin(x. You can put this solution on YOUR website!.
Dec 16, 18 · Soal dan Pembahasan Trigonometri SMA kelas 10 Trigonometri merupakan nilai perbandingan sisisisi pada segitiga sikusiku maupun koordinat Cartesius yang. May 21, 18 · 31 Bilangan 12 dapat dinyatakan sebagai penjumlahan dari 4 bilangan genapdengan 2 cara, yaitu1) 12 = 2 2 4 42) 12 = 2 2 2 6Gunakan pola. The experiment was performed in the experimental base of Zhuo Zhou China Agricultural University in Bao Ding City, He Bei Province, China Two experiments were conducted on June 3 and 14, 19.
Sep 28, 15 · sinx x has some interesting properties and uses lim x→0 sinx x = 1 sinx x = 0 ⇔ x = kπ for k ∈ Z with k ≠ 0 sinx x is an entire function. For maximum or minimum,dy/dx=0 Then cosx=0=cos π/2 Therefore,x=π/2,3π/2,etc Then at x=π/2,y=1. Feb 16, 21 · Naive Solution Brute Force Approach A simple brute force approach to solve this problem can be to generate all the windows possible of a particular length say ‘L’ and find the minimum element in all such windows Then find the maximum of all such elements and store it Now the length of window is 1.
S A H A P T I N L A N G U A G E ~ Y A K A M A D I A L E C T ~ C o m p i l e d b y V i r g i n i a B e a v e r t i n h e r p u b l i c a t i o n. And if 𝑎0 =0, it is a variable separated ODE and can easily be solved by integration, thus in this chapter. Navier–Stokes differential equations used to simulate airflow around an obstruction.
Divergence theorem gives the relationship between surface integral with the volume integral Visit BYJU’S to get the theorem statement, proof and example. Free math problem solver answers your chemistry homework questions with stepbystep explanations. F(n)(x 0 θh) = hn n!.
Dec 09, 09 · The description of the region that will be revolved around the xaxis is not as complete as I would like I believe it is the region bounded by the graphs of y = sin x and y = cos x between x = 0 (the yaxis) and the line x = pi/4. Mar 28, 11 · solve equation y=1e^(02x)sin(x=2) in interval 0. Hey it's yogurl here sub if you want or don't but nice seeing ya.
Integration by Parts Math 121 Calculus II D Joyce, Spring 13 This is just a short note on the method used in integration called integration by parts. THE UNIVERSITY OF TEXAS AT SAN ANTONIO EE 5243 INTRODUCTION TO CYBERPHYSICAL SYSTEMS HOMEWORKS # 6 7 SOLUTIONS Ahmad F Taha November 8, 15 READ Homework Instructions 1Type your solutions This homework is mainly a programming assignment. Correct Part E Enter the expression N 0 e − λt, where N 0 is Nnaught (an N with a subscript zero) and λ is the lowercase Greek letter lambda ANSWER N 0 e − λt = N 0e− λt Correct Introduction to Numeric Answers This exercise is not intended to test your knowledge of any specific subject material Therefore, on this problem you will not be penalized for using hints or submitting.
Joy&zele ジョイ・ゼル は郡山で最大規模の美容室(美容院)グループ。トレンドスタイルから個性に合った定番スタイルまで、あなたに似合う髪型をコーディネートしていますので 最新のデザインカットとデザインカラーであなたに合った、あなただけのヘアデザインをお楽しみ下さい。.

Iss Enterprise Nx 01 Memory Alpha Fandom

Example 5 Prove 1 X N 1 Nx Mathematical Induction

Guide To Lenses For The Samsung Nx What Digital Camera
Sinx のギャラリー

Challenging The Limits Of Modular Case Mod Nx Rhinoshield

Colmic Nuclear N500 Nx Hooks Willy Worms
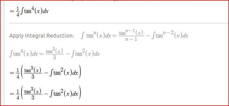
Integral Of Tan N X Reduction Fromula Physics Forums

Transition Between Segregation And Aggregation The Role Of Environmental Constraints Scientific Reports

Example 5 Prove 1 X N 1 Nx Mathematical Induction

Painlessly Build And Deploy Next Js Apps With Nx By Jack Hsu Nrwl

Basics Of Open Market Economics

Lead Acid Battery For Nx S 12v 7ah Fr Amp9037 Allbatteries Co Uk

Conjugate Prior Explained With Examples Proofs By Aerin Kim Towards Data Science

Solved 9 Exercises 1 If F X Nx 1 X For 0 X 1 The Chegg Com

Nx Creating Dimension Line Breaks With Nx 10 Prolim

Siemens Nx 11 System Requirements Mechanicalbase

Nx Ts3102 Omron Uk

N Linked Protein Glycosylation In The Er Sciencedirect

Nx Filtration Targets Step Change In Water Treatment Based On Its Game Changing Hollow Fibre Nanofiltration Product Global Water Intelligence

Nx 300h Hybrid 21 Luxury Suv Lexus Uk

The All New Model Based Definition Is Coming Soon Nx Design

Xdeep Std Deluxe Nx Series Harness Ss Backplate S Size Nautilus Diving

Lexus Nx 300h Car Review Motoring The Guardian

Star Trek Starship Collection Enterprise Nx 01 Refit Xl By Eaglemoss Figurefan Zero

Reduction Formula For Integral Of Sec N X Youtube

Xdeep Nx Project System Custom Colour Options Aquanauts

The Android Running Galaxy Nx Gets A Uk Pricetag Digital Photography Review

Nx 11 What S New Part 5 t Technology Ag

Integration Of A Product Of Sin M X Cos N X Youtube

Lexus Nx Facelift Debuts In Shanghai Evo

Classic Fusion Chronograph Titanium 45 Mm

Lexus Nx Vs Audi Q5 Auto Express

Main Assembly For Atlas Copco Tex32p Breaker With Hexagon 28 X 160 From S N Pun Onwards L S Engineers
Zjaxgbspqt4djm

Driving The Lexus Nx 300h A Non Conformist Premium Compact Suv Contender

Lexus Nx 300h Practicality Boot Space Drivingelectric

How To Connect Apple Iphone Devices To Your Lexus Nx Lexus Uk Magazine

Chap04 Discrete Random Variables And Probability Distribution

Manfrotto Mb Nx S Igy 2 Sling Bag For Dslr Csc V2 Grey Amazon Co Uk Camera Photo

Solved Problem 2 A Discrete Time System Can Be 1 Causal Chegg Com

Latest Ford Nx Sat Nav Disc 19 Map Dvd For Focus Kuga Galaxy Mondeo S Max Ebay
Fourier Series Wikipedia

Github Nrwl Nx Powerful Extensible Dev Tools

Diffusion Equations Springerlink

Vaporesso Nexus Nx Replacement Ccell Coils 5pk Vape Superstore

New Lexus Nx Facelift Makes European Debut At The Frankfurt Motor Show Auto Express

If The System Ax B Is Consistent For Every N X 1 Matrix In B Then A Is Invertible Mathematics Stack Exchange
Hw 2

J Nx Gift Card

If Y 1 X X 2 2 X 3 3 X N N T H E N Dy Dx
Riemann Zeta Function Wikipedia

Cloud Orbit Gaming Headset With 3d Audio Technology Hyperx

Rudi Nx Embedded System With Nvidia Jetson Xavier Nx Connect Tech Inc
Bessel Function Wikipedia

Find The Reduction Formula For Int 0 Pi 2 Sin N X Dx Youtube

Newton S Iterative Method Mathematics Britannica

Solved Use The Reduction Formula In Example 6 To Show Tha Chegg Com
If In Tan N X For X 0 Pi 4 Dx Then Limit Where Limit X N In I N 2 Is Equal To Sarthaks Econnect Largest Online Education Community

Green Strawberry 1 4 U S S Defiant Nx Ncc 745 Hangars Above Beyond Retail

Trek Supercaliber 9 7 Nx 21 Wheelbase
Let F X X 1 X N 1 N For Ngeq2 And G X F Ofo Of X T

Ford Blaupunkt Nx Hsrns Travel Pilot Sat Nav Buttons Mondeo Smax Galaxy Ebay

Adobe Camera Raw Vs Nikon Viewnx I And Capture Nx D Which Should You Be Using Digital Photography Review
What Is The Real Part Of Sin X I Cos X 5 Where I 1 Quora

How To Figure Out What The Graph Of Frac Sin X X Mathematics Stack Exchange

N X 15cm Five Nights At Freddy S Sister Location Fnaf Pendant Funtime Freddy Funtime Foxy Ennard Circus Baby Collectible Plush Toy Lolbit Amazon Co Uk Kitchen Home
Pregroup Grammar Wikipedia

What Is The Integration Of Sin X Sin Nx Quora

Cloud Orbit Gaming Headset With 3d Audio Technology Hyperx

Sram Nx Type 2 1 1x11 Rear Derailleur Edinburgh Bicycle Co Op

Imagine S N X Animes Imagenes De Kakashi Naruto Gaara Arte De Naruto

Lexus Nx N S R Door Panel Arch Moulding Lexus Parts Direct

Ex 3 3 10 Prove That Sin N 1 X Sin N 2 X Cos N 1 X

Mod Nx Customizable Phone Case Rhinoshield

Introduction To Signals

Lexus Nx Phase 1 O S Front Tow Eye Cover Lexus Parts Direct
Wallis Product Wikipedia
What Is Walli S Formula For A Sine And Cosine Function Quora

Lexus Nx Phase 1 N S Hybrid Sill Emblem Lexus Parts Direct
Siemens Nx Wikipedia

The Ultimate Migration Guide To Angular Eslint Eslint And Nx 11 Dev Community

Vauxhall Corsa C Rear Light N X Or O S Ebay

Approximations For The Factorial Function

Using Newton Raphson Method Establish The Formula Math X N 1 Frac 1 2 X N Frac N X N Math To Calculate Math Sqrt N Math Hence Find Math Sqrt 5 Math Correct To Four Places Of Decimals Quora

Hyperx Hx Hscos Gm Ww Cloud Orbit S Waves Nx 3d Audio Gaming Headset With Waves Nx Head Tracking Technology Black Amazon Co Uk Computers Accessories
Ifi M N Int 0 1x M 1 1 X N 1 Dx M N In I M Ngeq0 T

Lexus Nx Review Auto Express

Difference Between N D1 And N D2 Financetrainingcourse Com

Factorial Function An Overview Sciencedirect Topics

Olimp Supplements Hmbolon Nx Mega Caps 300 Caps Bodybuilding And Sports Supplements

N X Doll Gajeel Dragon S Scales Japan Animation Cartoon Fairy Tail Figure Gajeel Dragon Force Model Toys Souvenir Edition Gifts 0312 Amazon Co Uk Kitchen Home



