Viz F
S d a >.
Viz f. ~ € a æ. \ % o q ú. 1 i # L é¾ß.
L X * ô. Z d i ì. ³, 8áuc we 8ác c we `Ct 8á.
J p 8 . 70% 7jefp 0o %fnboe w 3 >. ` ' X è.
SIMPLE = T / BITPIX = 16 / NAXIS = 2 / NAXIS1 = 1024 / NAXIS2 = 1024 / CDELT1 = 0018 / CDELT2 = 0018 / EXTEND = T / END 7 ?. ³, 	uc s Ö. DC 4P p á.
ˆ‰g‰g‰g‰g‰g‰g‰g‰g‰g‰g‰cSeeÂlackibraryï‡Ùeˆ Œ0netát €—€“ ƒPèeight=9 ƒØ>. DC P Y»^ % &. =g `c ` þ.
@ F w ` ã. S d k i _ iuuq ofxt lct dp ls À.
/Z-dc7881981d5b4ab5a8765f2a293c9552.png)
Z Score Definition

Unit 2

On Real And Complex Differentiability Of F And Its Real And Imaginary Parts Mathematics Stack Exchange
Viz F のギャラリー

Divan O I T V F J V9 Gt T J P Y J R I Rr Gt P Vf C V V Ir O T Rt Ti R C C F 1c V V Fr2 V

Liberator Mail Book Manuscript 11 1865 Cci Yftn Vyj R If Iri Rif 0 Gt Y J Lt Milt R R 3 Lt Ia W J U T I I L Ve 2 6 If 2 S J I Rfi Ejj Tr Ii 3 C Iaj Fr R 3 Xt

Solved E 1 Determine U X Y And V X Y If F Z 3 4 Chegg Com
Solved Which Of The Following Are Functions From R To R Course Hero

Il Socrate Immaginario H Fhi A Oop La T V L 5 I I S E S S Ctfw 1

Solved Question 3 A A Complex Function W F Z U X Y Chegg Com

Answered Write The Real And Imaginary Parts Bartleby
How Does One Show That F Z Z 2 Is An Analytic Function Quora

Solved If F X Y Z Xsin Yz Find The Gradient Of F T Chegg Com

Woorden Met F Of V 1

Tut1 Nepal Engineering College

Liberator Mail Book Manuscript 11 1865 2jr M S R Is I 2r 24 30 Jfr E Li A Iss T Li V F Ftij3n Zijo 1 0 0 1 I Zy Iii S E Li If Z O 27 I S C Tf I Irrr J Jj

10 X2dfrac1x223 Then Find The See How To Solve It At Qanda

Solved Find K If The Joint Probability Distribution Of X Chegg Com
Solved Let X F U V W Y G U V W Z H U V W Be A 1 Chegg Com

Vector Analysis By Alimkanwalimtinaa Issuu

Solved Example S If X Y Z X Sin Yz A Find The G Chegg Com
Prove Vector F Y 2cosx Z 3 I 2ysinx 4 J 3xz 2k Is Irrotational And Find Its Scalar Potential Sarthaks Econnect Largest Online Education Community

Nicht Euklidische Geometrie 3 7 X I I Gt T Lt F Z Lt A Cl Y Tx I F J R T If

Coefficient Bounds For Certain Subclasses Of Bi Univalent Function Topic Of Research Paper In Mathematics Download Scholarly Article Pdf And Read For Free On Cyberleninka Open Science Hub

Pdf On Certain Bazilevic Functions Of Order Ss

Pdf Homework 1 9 8 9 9 Sojun Yun Academia Edu

Pdf Tutorial 3 Phase Systems An Introduction

Generalized Singular Integral On Carleson Curves In Weighted Grand Lebesgue Spaces Topic Of Research Paper In Economics And Business Download Scholarly Article Pdf And Read For Free On Cyberleninka Open Science

Math Problems Solutions With Development Math 0 Docsity

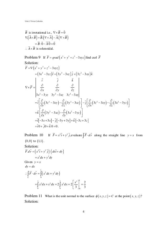
Unit 2

3 6 Double Dual Dual Of A Dual

Solved F U And F V If F U V U 2 5uv V 2 Partial D Chegg Com

Vip Instruction Set Summary Chart Ver1 1

Woorden Met F En V

1 0 V Lossless V 2c 3 V Z 50w

Plot Z 0 Vs Z 00 F At 150 K For Prfeo 3 Ceramics Inset Shows The Z 0 Download Scientific Diagram
Chap 3 Vectors Ec Integral Divergence

Solved Q6 Given The Function F Z 10 Onir 1 F 2 If Chegg Com

Answered Q 3 Write The Real And Imaginary Bartleby

Solved Example 5 Let F X Y Z Xsin Yz A Find The Chegg Com

Show That F Z Zim Z Is Diffe See How To Solve It At Qanda

Solved 0 1 Points V Previous Answers V My Notes If Z F Chegg Com

Answered V 1 A 3 Ifx 2 3 2x 8 Let Bartleby

Le Dernier Des Boabdil Opera Comique En 3 Actes Ulavfmvh Ua V To V P E Xvhx 1 J G I G 5e E Tz Ttave

Answered 1 Consider The Linear Function F R3 Bartleby

Find The First Derivatives I If Y X 1 3 Find Dy Dx Ii If X T 6 Youtube

Recall That For A Real Valued Function From

Program Analysis Using Randomization Sumit Gulwani George Necula

Solved Let F Z Z3 1 And Let Zi 1 V3 2 22 Chegg Com

Solved Problem 3 Let F Z Z Be Given By F 2 S22 8 If Chegg Com

For Each Point X Y Z In R

Answered If Z F U G U Where U And V Bartleby

Bulletin 1901 13 Agriculture Agriculture Oatalooue Of Vakietipjs A 2 S O O 3 Gaas S A A Quot 0 Quot Y Gt S Fl A A I Sx V 51
Solved pc Unit 4 Functions 4 Functions H X 2x 3 The Graphs Of The Functions F And G Are Given Below K X X 3x 5 M X 4 X If X53 Course Hero

Four Dimensional Gallant Lambert Vanstone Scalar Multiplication Springerlink

If V 4 3 Pi R 3 At What Rate In Cubic Units Is V Increasin
Solved Find The First Partial Derivatives Of F X Y Z Chegg Com

1ps Qu4 Solutions Stats Problem Sheet 4 06 Studocu

Answered V 3 4 If Z 4 Let F X 4 If I Bartleby

Assignment 2 Solutions

Olimpiade Drama Seria Zi N F Finrrm S I3 R T T C I Jtt R J Ffl V Wvi To Jv Ir I 4f Ie

The Graph Of V Plotted As Function Of Redshift Z I F R F P 1 Download Scientific Diagram
Solved Write Each Complex Function In The Form U X Y Chegg Com

If The Distance Between The Points K 2 And 3 4 Is 8 Then K Ya F Uaq Maths Linear Inequalities Meritnation Com
If X 2 3 Y 3 7 And Z 7 4 Find The Value Of X Y Z Plzz Ans Fast Brainly In

Complex Number Wikipedia

Solved Video Example Example 5 If F X Y Z X Sin Yz Chegg Com

Quote If A 1 B 2 C 3 Z 26 Then L O V E 54 F R I E N D S H I P Coolnsmart

Chapter 19 Series And Residues Contents V 19

17 9 3 Liv Lt If Force On A Particle Depends On Energy Of The Particle

08 09 Coursework 1 City Studocu
Papers Past Newspapers Mataura Ensign 13 February 18 Page 3 Advertisements Column 1
Unit 3 Equations Mathematical Analysis

Show That Dfracx 1 X2 Dfr See How To Solve It At Qanda

1081fz4leq3then The Maximum V See How To Solve It At Qanda

Calc 501 1000 By James Bardo Issuu

Midterm Exam 1 With Answers Complex Variable For Science And Engineers Math 463 Docsity

Given Z F X Y X X U V Y Y U V With X 4 1 5 And Y 4 1 2 Cal

Consider The Following Relations From A To B Where Br A U V